KOREAN SOCIETY FOR FLUID MACHINERY
[ Original Paper ]
The KSFM Journal of Fluid Machinery - Vol. 28, No. 3, pp.25-34
ISSN: 2287-9706 (Print)
Print publication date 01 Jun 2025
Received 08 May 2025 Revised 18 May 2025 Accepted 19 May 2025
DOI: https://doi.org/10.5293/kfma.2025.28.3.025

한국항공우주연구원 항공용 마이크로 가스터빈 연구개발 현황

강영석*, ; 정희윤* ; 이동호* ; 이동은** ; 김석민**
*한국항공우주연구원 첨단항공엔진팀
**과학기술연합대학원대학교 한국항공우주연구원 스쿨
Research and Development Status of Micro Gas Turbine for Aviation at Korea Aerospace Research Institute
Young Seok Kang*, ; Heeyoon Chung* ; Dong-Ho Rhee* ; Dong-Eun Lee** ; Seokmin Kim**
*Korea Aerospace Research Institute
**Aerospace System Engineering, University of Science and Technology

Correspondence to: E-mail : electra@kari.re.kr

Abstract

Micro gas turbine engines have been widely used since the early 1990s, initially designed as high-thrust propulsion units for radio-controlled (R/C) aircraft. Due to their compact architecture and high-speed rotational requirements, early manufacturing and operational processes posed significant challenges. However, continued research and development, along with advances in material science and precision machining, have led to a marked increase in their technological maturity. Consequently, micro gas turbines have evolved beyond hobbyist applications and are now recognized as viable propulsion systems for a range of practical uses. Recent improvements in reliability, maintainability, weight reduction, and fuel efficiency have contributed to growing demand, particularly in military and commercial UAV applications. In response, Korea Aerospace Research Institute (KARI) has conducted systematic researches to explore the feasibility and practical deployment of aviation micro gas turbines. This paper presents an overview research and development activities at KARI, highlighting key technical achievements, existing limitations, and proposing future directions aimed at commercialization and expanded application.

Keywords:

Micro Gas Turbine Engine, Engine Sizing, Integrated Performance Analysis, Engine Control Unit, Additive Manufacturing

키워드:

마이크로 가스터빈 엔진, 엔진 사이징, 통합 성능해석, 엔진 제어기, 적층제조

1. 서 론

마이크로 가스터빈 엔진은 1990년대 초반부터 높은 추력을 요구하는 취미용 R/C(Radio-Controlled) 항공기의 추진기관으로 개발되기 시작하였다. 초기에는 소형화된 구조와 고속 회전 특성으로 인해 제작 및 운용의 난이도가 높았으나, 지속적인 연구개발과 소재 기술의 발전, 그리고 정밀 가공 기술의 향상에 힘입어 기술적인 완성도가 크게 향상되었다. 그 결과, 마이크로 가스터빈 엔진은 더 이상 단순한 취미용 기계장치를 넘어, 다양한 실용적 용도를 지닌 추진기관으로서의 가능성을 입증하게 되었다. 특히 최근 들어 엔진의 신뢰성과 유지보수 용이성, 경량화, 연비 개선 등에서 뚜렷한 기술적 진보가 이루어지면서, 소형 무인항공기(UAV) 분야를 중심으로 군사용 및 상업용 플랫폼에서도 본 엔진의 수요가 꾸준히 증가하고 있다.

이러한 기술적 진보에 발맞추어, 한국항공우주연구원에서는 2010년대 중반부터 항공용 마이크로 가스터빈의 활용성과 실용성에 주목하여 관련 연구를 체계적으로 수행해 오고 있다. 연구 초기에는 마이크로 가스터빈 엔진의 구조 분석 및 기초 기술 확보에 중점을 두었다면, 최근에는 마이크로 가스터빈 엔진 구성품 성능 최적화, 엔진 제어 계통, 엔진 통합해석 등 세부 기술 요소 개발 및 이를 바탕으로 하는 마이크로 가스터빈 엔진 국산화 지원에 이르는 다각적인 연구가 진행되고 있다.

이에 본 논문에서는 한국항공우주연구원에서 지난 수년간 수행한 마이크로 가스터빈 엔진 관련 연구개발 과정을 종합적으로 소개하고, 이를 통해 얻은 기술적 성과와 현 단계에서의 한계점들을 설명하고자 한다. 아울러 향후 마이크로 가스터빈 기술의 발전 방향과 실용화를 위한 과제 및 연구개발의 지향점에 대해서도 논의함으로써 관련 분야 연구자들에게 참고가 될 수 있는 기술적인 내용을 제시하고자 한다.


2. 마이크로 가스터빈 연구 분야

한국항공우주연구원에서 진행하는 마이크로 가스터빈 엔진 연구개발 분야는 크게 네 가지 주제로 분류할 수 있다.

- 마이크로 가스터빈 설계 및 성능평가
- 마이크로 가스터빈 엔진 제어기술
- 마이크로 가스터빈 활용 파생엔진 개발
- 마이크로 가스터빈 엔진 제작 및 국산화 지원

본 논문에서는 주제별로 한국항공우주연구원에서 진행한 항공용 마이크로 가스터빈에 대한 연구개발 내용 및 사례들을 간략하게 정리하여 소개하고자 한다.


3. 마이크로 가스터빈 엔진 설계 및 성능평가

3.1 데이터베이스 기반 마이크로 가스터빈 엔진 설계 및 성능평가 연구

Rhee 등(1)은 다양한 무인 비행체 및 RC 항공기용 추진기관으로 활용되고 있는 24개 제조사의 104개의 추력 1,000N 이하의 마이크로 가스터빈 엔진에 대해 주요 사양 및 성능을 정리하여 Fig. 1과 같이 추력에 따른 성능/형상 등의 정보를 데이터베이스화하였다. 이를 활용하여 Chung 등(2)은 추력 1,000N 이하의 마이크로 가스터빈 엔진에 대해 앞서, hee 등에 의해 정리된 데이터베이스를 활용한 마이크로 가스터빈 엔진 통합 설계 플랫폼을 개발하였다. 해당 설계 플랫폼에서는 Fig, 2 (a)와 같이 설계 대상 엔진의 추력을 입력하면, 기 입력된 데이터베이스를 이용하여 엔진 및 주요 구성품의 사이징을 진행하고, 기준 엔진 설계안을 활용하여 Fig. 2 (b)와 같이 설계된 엔진의 3D 형상을 제안한다. 설계된 엔진의 추력 등의 엔진 성능 역시 데이터베이스를 이용하여 분석값을 제시한다. 여러 설계안에 대해 도출한 엔진 성능 값은 GasTurb 등을 이용한 엔진 사이클 분석을 통해 얻은 엔진 성능 해석 결과와 2% 범위 이내에서 일치하는 것을 확인할 수 있었다. 이를 확장하여 Kang 등(3)은 Concepts NREC사의 터보기계 설계 해석 프로그램인 AxCent를 이용하여 마이크로 가스터빈 엔진 설계를 위한 템플릿을 구축하고, 앞서 설명한 방법과 동일한 방식의 데이터베이스 기반 설계안을 AxCent로 구현하여, 이로부터 3D CAD 모델링을 제공하고, Blade Loading 기법을 통해 마이크로 가스터빈 구성품 및 엔진 성능을 예측할 수 있는 설계 및 해석 기법을 확보하였다. 이를 이용하여 400N부터 1,000N급 마이크로 가스터빈 엔진에 대한 사이징 및 성능을 예측하였으며, 이들이 동일한 추력을 내는 상용 마이크로 가스터빈 엔진 사양에 표기된 성능과 크게 다르지 않음을 보여주었다. 또한 디퓨져 및 일부 구성품에 대해서는 엔진 설계 시 Cross-Over 디퓨져 혹은 채널 디퓨져 및 디스월러 조합 등 상황에 따라 구성품을 교체할 수 있도록 하는 방안도 반영해 두었다.

Fig. 1

Distributions of (a) mass flow rate (b) pressure ratio and (c) rotating speed of micro gas turbine engine(1)

Fig. 2

(a) Micro gas turbine sizing and performance analysis tool and (b) 3D CAD generator(2)

현재 마이크로 가스터빈 엔진에 대한 설계 및 성능 관련 데이터를 지속적으로 축적하고 있으며, 최근에는 34개 제조사의 252개 엔진 정보로 데이터베이스를 추가 확대하여, 성능 예측 모델의 정확도 향상을 도모하고 있다. 또한, 사용자가 엔진 구성 요소를 직접 선택하여 엔진을 맞춤 설계할 수 있는 기능을 제공함으로써, 초기 설계 단계에서의 설계 자유도를 확대하고 다양한 설계 옵션을 지원할 수 있는 기반을 구축하고자 한다.

3.2 마이크로 가스터빈 엔진 통합해석 연구

마이크로 가스터빈 엔진을 포함한 대부분 가스터빈 엔진의 성능 해석은 개별 구성품에 대한 3D CFD 해석을 통해 성능을 예측하는 방법을 사용한다. 이러한 방식은 구성품 간의 정확한 매칭을 예상하는 데 어려움이 있으며, 이에 전체 엔진 성능을 정확히 예측하는 데 한계가 있다. 이러한 기술적 한계를 극복하고자 Chung 등(4)은 300N급 마이크로 가스터빈 엔진을 대상으로 모든 구성품을 통합하고, 압축기와 터빈 간의 토크 매칭이 적용된 마이크로 가스터빈 엔진 통합 해석 모델을 개발하여 마이크로 가스터빈 엔진에 성능을 정량적으로 평가할 수 있었다. Lee 등(5)은 여기에 추가로 압축기에서 터빈으로 구성되는 2차 유로로 흐르는 2차 유동을 소스 항으로 추가로 모사하여 수치해석 결과가 실험 측정값에 더욱 근접하도록 수치해석 기법을 추가 개선하였다. 두 해석에서 모두 해석 대상은 JetCat사의 P300-RX 마이크로 터보제트 엔진을 활용하였고, 통합해석에는 상용 전산유체역학 소프트웨어인 ANSYS CFX에 구성품 간 토크 매칭을 위한 별도의 User Subroutine에 수치해석 시 매 Iteration 마다 압축기와 터빈에 가해지는 토크를 계산하여 연료량을 조절하며 수치해석을 진행하였다. 난류 모델로는 복잡한 회전 유동 및 경계층 처리가 우수한 κ-ω SST 모델을 채택하였고, 연소기 내에서의 연소모델은 Eddy Dissipation Model (EDM)을 기반으로, 실제 마이크로 가스터빈 엔진 내의 연소 효율 90%를 반영한 연소모델을 활용하여 수치해석을 진행하였다. Lee 등(5)의 연구에서는 압축기에서 터빈으로 흐르는 2차 유동을 모사하기 위해 압축기 흡입 질량 유량의 약 3%를 2차 유동으로 가정하여 압축기 및 터빈 해석에 적용함으로써 실제 엔진 작동 조건을 보다 정밀하게 반영하도록 하였으며, Fig. 3은 해당 해석 결과 엔진 내부의 전압력, 전온도 및 유선분포를 나타내고 있다.

Fig. 3

Distributions of (a) total pressure (b) total temperature and (c) streamlines from an integrated CFD analysis result of a 300N class micro gas turbine engine(4)

이러한 요소들을 통합함으로써, 기존의 단순 성능 맵 기반 엔진 성능 예측보다 더욱 현실적인 엔진 성능 예측이 가능하게 되었으며, 실제 해당 엔진의 실험 데이터와의 비교를 통해 높은 수치해석 정확도를 입증하였다. 엔진 통합해석 결과는 엔진 회전수에 대한 추력, 흡입공기 질량유량 등의 실험 데이터와 비교하여 대부분의 성능 지표에서 최대 5% 이내에서 일치하는 것을 확인하였다.

최근에는 Fig. 4와 같이 애프터버너를 엔진 하류에 붙인 재열사이클 엔진까지 해석범위를 확장하는 등 그 활용성을 높이기 위해 지속적인 해석 모델 개발 연구를 진행하고 있다. 이러한 마이크로 가스터빈 통합 해석 모델은, 개별 부품의 성능 맵 없이도 전체 엔진 및 구성품별 성능을 평가할 수 있어, 향후 엔진 설계 및 다양한 응용 분야에 활용될 수 있을 것으로 기대한다.

Fig. 4

Distributions of (a) total temperature and (b) streamlines from an integrated CFD analysis result of a supersonic micro gas turbine engine module


4. 마이크로 가스터빈 엔진 제어기술

4.1 마이크로 가스터빈 엔진 시동구간 제어 기술

항공용 마이크로 가스터빈 엔진 제어기는 엔진의 시동, 연료공급, 점화, 가속 및 안정화 등의 과정을 자동으로 제어하여 안정적인 운용을 가능하게 하는 핵심 장치이다. 특히 시동 구간에서는 연료 유량과 회전수, 온도 등의 주요 변수를 실시간으로 모니터링하고 제어함으로써 안전하고 신속한 엔진 구동을 보장한다. 다만 대부분 마이크로 가스터빈 엔진 제어기는 일종의 블랙박스와 같아, 제어기 내의 설정값 변경이나 시스템 개조에 제약이 있어 다양한 실험이나 엔진 개조에 한계가 존재한다. 이에 따라 사용자가 직접 제어 로직을 수정하고 구성요소를 자유롭게 제어할 수 있는 자체 제작 제어기의 필요성이 제기되어 한국항공우주연구원에서는 마이크로 가스터빈 엔진의 시동 구간 및 운전 구간에 대해 각각 엔진 제어로직을 개발하여 시험을 통해 해당 로직의 가용성을 입증하였다.

Lee 등(6)은 마이크로 가스터빈 엔진의 시동 구간 제어 로직을 Fig. 5와 같이 Arduino 하드웨어 기반으로 구현하고, 상용 제어기와의 성능을 비교 분석하였다. 해당 연구에는 제어기를 제거한 JetCat사의 P300-RX 엔진을 사용하였으며, 기존 상용 제어기의 제어 로직을 분석하고, Arduino MEGA와 MOSFET, 모터 드라이버 등을 활용한 자체 제어기를 설계하였다. 엔진 회전수(RPM)와 배기가스 온도(EGT)를 측정하기 위해 Hall 센서와 K형 열전대를 사용하였고, 연료펌프, 시동모터, 점화기, 연료밸브 등의 하드웨어 제어를 위한 제어기 모듈을 구성하였다. 이후 제어 변수(연료 유량, 시동모터 전압 등)에 따른 시동구간에서의 엔진 거동을 반복 실험을 통해 분석하였다. 시동 구간은 시동모터 구동, 연료공급, 점화, 가속, 안정화의 5단계로 구성하여 단계별로 시동모터, 점화기, 연료펌프 및 밸브류를 제어하며 최적의 시동구간 제어로직을 탐색하였다.

Fig. 5

Micro gas turbine engine control logic and hardware development kit(6)

연료 유량 제어 시 단순한 연료펌프의 전압 제어, 시간 기반 선형 제어, RPM 기반 선형 제어로 구분해 실험을 진행하였고, Fig. 6 (b)에서와 같이 RPM 기반 제어가 시동구간 배기가스 온도를 효과적으로 낮추는 데 가장 효과적인 것으로 나타났다. 점화 구간에서는 연료펌프와 시동연료 밸브에 30% 펄스폭 제어를 적용한 경우, 점화 성공률이 높고 배기가스 온도 상승이 완만하여 안정적인 시동이 가능하였다. 가속 구간에서는 연료 유량을 점진적으로 증가시키는 선형 제어가 연료 낭비를 줄이고 온도 상승도 억제할 수 있었다. 시동모터에 인가되는 전압을 단계적으로 조절한 결과, 가속 성능 향상과 함께 배기가스 온도를 600℃ 이하로 억제할 수 있었다.

Fig. 6

Distributions of (a) engine rotating speed, (b) engine exhaust temperature during start up sequence(6) and (c) PID control response(7) of a 300N class micro gas turbine engine

최종적으로 상용 제어기와 비교한 결과, Arduino 기반 제어기는 시동 시간이 60초 이내, 최대 EGT가 700℃ 이하로 유지되며 상용 제어기와 유사한 성능을 보였다. Arduino 제어기는 사용자가 다양한 변수와 구성요소를 자유롭게 설정할 수 있는 개방성과 확장성을 갖추고 있어, 향후 마이크로 가스터빈 엔진 제어기 로직 및 하드웨어 개발에 유용하게 활용할 수 있을 것으로 기대한다.

4.2 마이크로 가스터빈 엔진 운전영역 제어 기술

앞서 설명한 엔진 시동구간 제어 기술 후속 연구로 Lee 등(7)은 엔진 시동 후 엔진 전체 운용 구간에 대한 엔진의 제어 로직을 PID 제어 방식을 기반으로 개발하여 실험을 통해 실증하였다. 시동구간 제어기술 개발 시 활용한 동일한 엔진 및 제어기 하드웨어를 사용하였다. 목표 회전수를 지정하면 PID 제어기법을 적용해 목표 회전수와 실제 회전수의 차이를 보정하는 방법으로 운전영역 제어기술 기반을 구축했으며, 아두이노의 출력 전압 분해능을 10bit로 개선하여 정상 상태 회전수 오차를 ±300RPM 수준으로 달성하고, 샘플링 속도 역시 8.8kHz로 개선하여 최대 측정 회전수 범위를 120,000rpm까지 확장시켰는데, 이는 상용 제어기와 유사한 수준이다. 다만 Fig. 6 (c)에서와 같이 저 회전수에서는 최대 오버슈트가 목표 회전수의 40% 수준을 나타냈는데 향후 제어로직 개선을 통해 제어로직의 안정성을 개선하고, 최대 제어 가능 회전수 역시 확장시킬 예정이다.


5. 마이크로 가스터빈 엔진 활용 파생 개발

5.1 마이크로 터보팬 엔진 개발

Hwang 등(8)은 기존의 마이크로 터보제트 엔진 대비 추력 대비 연료 효율이 우수한 마이크로 터보팬 엔진을 개발하기 위해, 상용 마이크로 터보프롭 엔진을 개조하여 터보팬 엔진으로 파생개발하고, 그 성능을 수치해석 및 엔진 성능시험을 통해 평가하였다. 대상 엔진으로 15kW급 출력을 보유한 SPT15-RX 엔진을 기반으로 팬 블레이드 모듈을 추가하고, 이를 통해 터보팬 구조를 구현하였다.

고 바이패스비 터보팬은 추력 300N을 목표로 설계되었으며, 엔진 압력비에 따른 팬 사이징을 진행하여 팬 회전수 및 직경, 질량유량 등의 주요 설계목표를 정의하였다. 팬 블레이드는 속도 삼각형 이론을 적용해 공력 설계되었고, ANSYS CFX를 활용한 수치해석을 통해 팬 회전 시 발생하는 유량, 압력 분포, 유동 박리 현상 등을 수치적으로 평가하였다. ANSYS Mechanical을 활용하여 팬 블레이드에 대한 구조해석이 진행되었고, 팬 시제는 블리스크 형태로 설계되었으며, 소재로는 경량화와 제작성을 동시에 고려하여 캐스트 나일론을 선정하였다. 팬 블레이드 허브의 응력 집중을 완화하기 위해 필렛 반경 조정, 에어포일 두께 증가, 회전체 동역학을 고려한 팬 블리스크 질량 감소를 위해 디스크 부분의 설계 보완이 이뤄졌으며, 최종 구조해석 결과 항복응력을 고려한 안전계수 및 공진 마진이 충분히 확보되었음을 확인하였다.

팬, 가이드 베인, 팬 하우징, 파일론 등 구성품은 CNC 가공 및 3D 프린팅 방식으로 제작되었고, 밸런싱 작업을 통해 팬 블리스크의 회전체 안정성을 확보하였다. Fig. 7 (a) 와 같이 제작된 고 바이패스비 터보팬 엔진은 시험 리그에 장착되어 팬 회전수 1,500∼6,000RPM 구간에 대해 성능시험이 진행되었으며, 주요 성능 지표로는 추력, 코어 엔진 회전수, 배기가스 온도(EGT), 비연료 소모량(SFC) 등이 측정되었다. 최대 추력은 Fig. 8 (a) 에 녹색 실선으로 나타난 것과 같이 300N으로 설계값에 가까운 추력이 측정되었고, 기존 마이크로 터보제트 엔진 대비 SFC가 50% 감소하는 등 효율 면에서는 뚜렷한 개선 효과가 관찰되었다. 팬 회전수는 최대 5,677RPM에 도달하였으며, EGT는 최대 651.6℃로 유지되었다. 해당 연구는 마이크로 터보팬의 주요 설계, 해석, 제작 및 실험을 체계적으로 수행한 첫 사례로서 의의가 있으며, 유사한 추진체계 개발의 기초 자료로 활용될 수 있다. 다만 추력 부족과 팬 효율의 한계 등은 향후 개선 대상이며, 특히 고속 비행체에 적용하기 위한 유속 개선과 구조 최적화가 필요하다는 결론이 도출되었다.

Fig. 7

3D CAD model and manufactured test rig of (a) a high bypass turbofan engine(8) and (b) a low bypass turbofan engine(9), derived from a 15kW class micro turbopro engine

Fig. 8

Thrust distributions of (a) a high-bypass turbofan engine and (b) a low-bypass turbofan engine, based on the turbofan engine configurations(10)

이에 후속 연구에서 Hwang 등(9)은 동일한 15kW급 터보프롭 엔진을 코어로 사용하되, 기어 감속비를 10:1에서 4:1로 낮춘 모델을 선정하여 팬 회전수를 증가시킬 수 있도록 Fig. 7 (b)와 같이 저 바이패스비 터보팬 엔진을 설계하였다. 팬 모듈은 사이클 해석 기반으로 압력비 1.059, 최대 추력 240N, 팬 후단 유동속도 100m/s 조건을 만족하도록 1D 설계를 진행하였다. 팬 블레이드 설계에 Vista AFD와 Design Modeler를 활용해 익형 형상 설계를 진행하였고, 유동 해석(CFD)과 구조해석(FEM)을 통해 공력 성능과 구조 안정성을 확인하였다. 벨 마우스를 도입하여 팬 입구 유동을 안정화시키고, 다양한 시험조건(벨 마우스 유무, 배기덕트 방향)에 따른 성능 비교가 가능하도록 시험 리그를 구성하였다. 실험은 총 4가지 조건에서 수행되었으며, 각 구성에 대해 팬 회전 수, 추력, 연료유량 등을 측정하고, 대기 조건을 고려한 보정 추력 및 SFC 계산을 통해 성능을 정량 평가하였다.

가장 높은 성능은 벨 마우스 및 후방 배기덕트를 적용한 조건에서 기록되었으며, 최대 추력은 Fig. 8 (b)의 적색 실선과 같이 264.4N, SFC는 0.134kg/N-hr로 측정되어 설계 목표치를 초과 달성하였다. 다른 조건에서도 추력과 SFC는 동일한 추세를 나타냈으며, 유동 박리, 팬 입구 유동 불안정, 누설 와류 등의 유동 현상이 팬 성능에 유의미한 영향을 미치는 것으로 분석되었다. 유동 해석 결과와 시험 결과는 전반적으로 일치하였으며, 특히 벨 마우스 적용 시 유동 박리가 줄어들고 팬 블레이드 효율이 향상됨을 확인하였다.

본 두 건의 마이크로 터보팬 엔진 개발 연구를 통해 운용 영역에 따른 마이크로 터보팬 엔진의 개발 가용성을 확인하였다. 향후에는 노즐 구성 변화, 회전체 진동 평가, 열 환경 해석 등 보다 고도화된 연구로 확대하여 터보팬 엔진의 성능을 지속적으로 개선할 것이다.

5.2 초음속 마이크로 가스터빈 엔진 개발

한국항공우주연구원에서는 국방기술진흥연구소의 지원을 받아 마이크로 가스터빈 엔진을 초음속 영역에서 작동할 수 있는 엔진으로 개조 개발하는 연구를 진행하고 있다. 본 연구에서는 JetCat사의 P300-Pro 엔진을 기반으로 초음속 영역에서 작동할 수 있도록 추가 주요 구성품을 설계하고 구성품 별 성능평가 및 최종 초음속 마이크로 가스터빈 엔진에 대한 성능평가를 수행할 계획이다.

초음속 엔진으로 구현하기 위해 가장 핵심적인 구성품은 애프터버너이다. 해당 엔진에 장착되는 애프터버너는 크게 확관부, 점화기, 연료 분사 장치, 보염기, 연소 덕트로 구성되어 있다. 확관부는 코어 엔진의 터빈 출구에서 나오는 고속 유속을 감속시켜 연소 안정성을 확보하는 기능을 하며, 터빈 출구 대비 4배의 면적을 가지며 확장각은 7°로 설계되었다. 점화기는 소형 마이크로 가스터빈 엔진에서 많이 사용되는 Kero Starter를 개조하여 Pilot Flame을 형성하도록 구현하였으며, 연료 분사 장치는 Spray Bar 형식으로, Φ 3.5mm 노즐 4개를 등간격으로 배열하여 Jet-in-Cross-Flow 방식으로 연료를 공급하였다. 보염기는 V자형 Vee-Gutter(30°)를 적용해 화염 유지 기능을 수행하도록 설계하였으며, 유로 차폐율은 0.3으로 정의하여 압력 손실 최소화와 연소 안정성 확보 간 균형을 도모하였다. 연소 덕트는 연소 반응이 주로 발생하는 구간으로, 직경 대비 길이가 2배 이하인 200mm로 설계되었다.

초기 점화 특성과 화염 안정성을 확인하기 위해 애프터버너 단독 시험을 먼저 수행하였고, 이후 Fig. 9에서와 같이 실제 엔진에 애프터버너를 장착한 뒤 연소시험을 통해 애프터버너 성능평가 및 애프터버너가 엔진에 미치는 영향을 확인하였다. 애프터버너 점화 및 연소시험은 코어 엔진의 Idle 회전수인 33,000RPM부터 최대 회전수 104,000RPM까지의 전 영역에 걸쳐 수행되었으며, 각 엔진 회전수에서 애프터버너 작동 여부에 따른 온도 상승과 연료 소모량 등을 측정하였다. 시험 결과, 고온의 터빈 출구 유속(약 650℃)으로 인해 점화기 없이도 자연 발화가 가능한 것을 확인하였고, 전 시험 조건에서 화염이 애프터버너 연소기 내에서 안정적으로 유지되는 것이 확인되었다. 특히 엔진 최대 회전수 조건에서 애프터버너 작동 시 연료 유량 7.7g/s, 당량비 0.2인 조건에서 연소 덕트 내 최고 온도는 1,370℃, 평균 온도는 약 1,300℃로, 애프터버너 내에서 약 650℃의 온도가 상승하는 것을 연소실험을 통해 확인하였다.

Fig. 9

Afterburner test rig of a supersonic micro gas turbine engine during the afterburner combustion(11)

본 연구를 통해 설계된 애프터버너는 마이크로 가스터빈 기반 초음속 추진 시스템의 구성요소로서 충분히 기능함을 실험적으로 확인하였으며, 향후 애프터버너에서의 점화 및 연소절차 자동화, 연소가스 온도 추가 상승 및 이에 따른 애프터버너 구성품 강건성 등을 추가로 확인할 예정이며, 전체 구성품을 통합한 초음속 마이크로 가스터빈 엔진 성능시험을 통해 애프터버너 연소에 따른 추력 증가율 등을 평가할 예정이다.

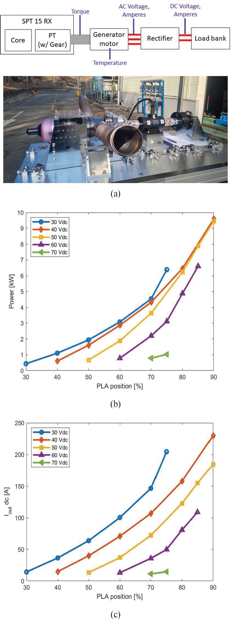
5.3 마이크로 터보제너레이터 개발

Lee 등(12)은 마이크로 가스터빈 기반 터보제너레이터의 개발을 목표로 하여, 기존 Jet A-1 연료를 사용하는 터보제너레이터 성능시험 리그를 구축하고, 성능시험을 진행하였다. 터보제너레이터 설계를 위해 JetCat사의 SPT15-RX 터보프롭 엔진을 선정하고, 이를 기반으로 발전용 모터와 연계한 터보제너레이터 시스템을 설계하였다.

성능평가를 위해 Fig. 10 (a)와 같이 터보제너레이터 시험 리그를 구축하고, 다양한 부하 조건에서 발전 성능을 평가하였다. 로드뱅크의 설정 전압에 따라서 마이크로 가스터빈 엔진의 부하를 변경하면서 시험을 진행하였다. 로드뱅크의 전압은 30∼70V로 10V 단위로 증가하면서 시험을 진행하였고, 시험 중 모터의 온도와 동력터빈의 회전수를 모니터링하였다. 시험 진행 과정에서는 모터의 전류가 65A 이상일 때부터 모터의 온도가 상승하기 시작하였으며, 모터 허용 최대 전류인 230A에 도달하였을 때 시험을 중지하였다. 시험 결과, Fig. 10 (b)와 (c)에서와 같이 터보프롭엔진 회전수 5,700 RPM 부근에서 최대 출력 9.6kW(40V, 230A)를 기록하였으며, 엔진의 회전수와 부하 조건에 따라 터보제너레이터의 효율이 변동됨을 확인하였다. 마이크로 가스터빈 엔진의 기계적인 출력과 발전기의 종단 직류 전력 생성량을 비교하였을 시 터보제너레이터의 효율은 약 50∼84%이며, 최대 출력에서는 효율이 약 80%이다. 현재는 발전기의 회전수가 마이크로 가스터빈의 최적 효율 운전조건과 맞지 않아, 전체 터보제너레이터 시스템의 발전 효율이 낮은 것으로 추정된다. 또한 마이크로 가스터빈의 회전수 대비 모터 상수가 높아서 높은 출력을 확보하지 못한 것으로 생각된다. 모터 상수가 100보다 낮은 모터 중에서 최대 출력이 높은 모터로 변경하는 것으로 터보제너레이터의 출력을 증가시킬 수 있을 것으로 판단된다.

Fig. 10

Schematic and manufactured turbogenerator test rig based on a 15kW-class micro turboshaft engine, (b) measured power and (c) current as a function of the load bank configuration(12)

본 연구를 통해 구축한 마이크로 가스터빈 기반의 터보제너레이터는 시험 준비가 간단하고, 시험 비용이 상대적으로 저렴하기 때문에, 다양한 터보제너레이터 축소모델 연구에 활용될 수 있을 것으로 예상된다. 또한, 본 터보제너레이터 자체로도 소형 UAM의 전력공급시스템 혹은 전력 공급 취약지역에서 신속하게 전력을 공급할 수 있는 소형 발전기로 활용할 수 있도록, 후속 연구를 통해 이를 실현할 계획이다.


6. 마이크로 가스터빈 엔진 제작 및 국산화 지원

6.1 3D 프린팅 기술을 활용한 초소형 가스터빈 엔진 연구

Rhee 등(12)은 초소형 가스터빈 엔진에 3D 프린팅(혹은 적층제조) 핵심기술 확보를 위한 연구를 진행하였다. Fig. 11에서 볼 수 있듯이 3D 프린팅 기술을 활용한 마이크로 가스터빈 엔진 구성품 제작, 3D 프린팅 기반 성능 개선 설계 및 해석, 3D 프린팅 기술로 제작된 연소기 구성품 및 엔진조립체 성능시험, 제작 공정변수 최적화 및 소재 물성치 라이브러리 기반 구축으로 구성되었다.

Fig. 11

Additively manufactured components in a 300N-class micro gas turbine engine(13)

P300-RX엔진 구성품을 역설계하여 압축기, 연소기, 배기노즐 등 주요 구성품의 형상 재설계, 금속 3D 프린팅 제작, 성능 개선 설계가 이루어졌다. 이를 통해 압축기의 서지마진 증가, 연소기의 연소효율 향상, 부품 수 감소 및 구조 강건성 확보 등 다양한 성능 개선 효과를 확인하였다. 일부 구성품은 시험 평가를 통해 그 성능이 검증되었다. 연소기 구성품은 연소시험 리그에 장착해 연소시험을 진행하여 기준 연소기 및 성능 개선 연소기 간의 연소효율 향상 여부를 검증하였다. 또한 압축기, 연소기 라이너, 배기노즐 등 고정장착 부품에 대해 금속 3D 프린팅으로 제작된 부품들을 실제 엔진 조립체에 적용하여 엔진 성능시험을 수행하여 기준 엔진과 동등한 수준의 추력 및 비연료 소모율 등이 계측됨을 확인하였다. 또한, 금속 3D 프린팅에서 사용되는 분말 소재에 대한 표준 시편 제작 및 시편에 대한 물성치 평가도 병행되었다. Inconel 718을 포함한 금속소재에 대해 기계적 성질을 평가하였고, 공정변수(레이저 파워, 스캔속도 등)에 따른 물성치 변화를 분석해 적정 제작 조건을 도출하였다. 그 결과를 바탕으로 마이크로 가스터빈 구성품 제작을 위한 소재의 물성치 라이브러리 구축을 완료하였다.

결론적으로, 본 연구는 금속 3D 프린팅 기반 초소형 가스터빈엔진 부품 제작 가용성을 확인하였고 엔진 성능 향상 가능성을 실험적으로 입증하였다. 향후에는 다양한 고온 구성품으로 3D 프린팅 기술의 적용 범위를 넓히고, 연소 안정성 확보 및 소재 최적화를 통한 엔진 성능 고도화 연구로 연구 범위를 확대할 계획이다.

6.2 마이크로 가스 터빈 엔진 국산화 개발 지원

㈜에스엔에이치社는 고온⋅고압⋅고속 회전체 분야에서의 축적된 공정 기술을 바탕으로, 한국항공우주연구원과 공동으로 추력 30kgf급 마이크로 터보제트 엔진 개발 및 양산화를 위한 제조 공정을 확립하였다.(13)(14) 해당 엔진은 무인기 및 개인비행체와 같은 차세대 항공 모빌리티의 추진기관으로 활용하기 위해 개발되었으며, 국내 최초로 실용화를 목표로 한다는 점에서 의의가 있다.

Fig. 12 (a)는 설계된 마이크로 가스터빈 엔진의 주요 구성품을 보여주고 있다. 마이크로 가스터빈 엔진의 제조 공정은 크게 회전부 조립, 연소기 및 연료계 조립, 제어계 설계, 시험 평가로 구성된다. 회전부 조립체는 압축기 임펠러, 터빈 휠, 샤프트, 베어링 등으로 구성되며, 각 부품은 절삭가공 혹은 정밀 주조 및 후가공 후 개별 밸런싱을 거친다. 최종 조립 후에도 동적 불평형을 제거하는 정밀 밸런싱 공정이 수행되며, 이는 엔진의 회전 안정성과 추력 성능 확보에 핵심적인 요소이다.

Fig. 12

S&H (a) Micro turbojet engine assembly modeling(14) and (b) its performance testing(15)

연소기 및 연료공급계는 기어펌프, 연료공급관, 점화플러그, 연소실, 노즐 가이드 베인(NGV) 등으로 구성되며, 정밀 조립 및 공차 관리를 통해 연료 유량의 안정성과 연소 효율을 확보하였다. 특히 마이크로 가스터빈 엔진 특성상 고정밀 조립 지그와 접합 기술의 확보가 제조기술의 신뢰성 향상에 크게 기여한 것으로 판단된다.

제어계는 RPM 센서 및 배기온도 센서를 기반으로 구성되며, 마이크로 프로세서를 통해 연료펌프, 시동모터, 점화플러그 등을 통합하여 제어한다. 무선 통신 기능과 Fail-Safe 알고리즘을 포함한 제어로직의 개발은 마이크로 가스터빈 엔진의 빠른 응답 제어와 안전성 확보를 가능하게 하였다.

시험 및 평가 단계에서는 Fig. 12 (b)에서와 같이 자체 개발한 테스트 리그를 통해 점화, 연소, 추력, 회전수 등 주요 성능 요소를 검증하였다. 또한 항공우주연구원과의 공동 테스트를 통해 성능 벤치마킹 및 신뢰성 평가가 이루어졌으며, 이를 통해 엔진의 반복 운용 가능성과 상용화 가능성을 확보하였다.

본 엔진의 국산화 개발 과정과 초도품 생산을 통해 기계가공, 주조, 스피닝 등 다양한 공정을 유기적으로 통합함으로써, 고신뢰성 마이크로 가스터빈 엔진 제작의 기반을 마련하였다. 이를 바탕으로 국내 마이크로 가스터빈 산업의 자립 기반을 확보하고, 향후 엔진의 상용화 개발이 완료되면 양산 단계까지 활용될 수 있을 것으로 기대된다.


7. 결 론

한국항공우주연구원은 그동안 항공용 마이크로 가스터빈 엔진에 대한 다양한 연구개발을 수행해 왔으며, 민간 기업과의 협력을 통해 실용화 가능성을 제고해 왔다. 향후에도 마이크로 가스터빈 엔진의 주요 구성품 단위 기술에 관한 심화 연구를 지속함과 동시에, 무인기 체계와의 연계 가능성에 대한 적용 방안을 다각도로 검토할 예정이다. 특히, 무인기 체계 제작사 및 실사용자인 소요군과의 긴밀한 협의를 통해 실질적인 운용 요구를 반영하고, 이를 바탕으로 엔진 성능 및 운용 편의성의 최적화를 추진할 계획이다. 아울러, 국내 수요가 증가할 것으로 예상되는 마이크로 가스터빈 엔진의 국산화 개발과 성능 개량 연구도 병행하여, 기술 자립도를 높이고 국내 무인기 산업의 경쟁력을 강화하는 데 기여하고자 한다. 이러한 종합적이고 연계된 연구 활동은 마이크로 가스터빈의 활용성을 극대화하는 데 기여할 뿐만 아니라, 무인기(UAV), 신개념 항공기, 개인비행체(PAV)를 포함한 차세대 항공 시스템에서 마이크로 가스터빈 엔진이 핵심 추진기관으로 자리매김할 수 있는 기술적 기반을 마련할 것으로 판단된다.

Acknowledgments

본 논문은 정부(방위사업청)의 재원으로 국방기술진흥연구소의 지원(KRIT-CT-22-053)을 받아 작성되었습니다.

References

  • Dong-Ho Rhee, Young Seok Kang, Heeyoon Chung, 2020, “Trends of Micro Turbojet Engines within Thrust Range up to 1,000N,” The KSFM Journal of Fluid Machinery, Vol. 7, No. 6, pp. 25∼33. [https://doi.org/10.5293/kfma.2020.23.6.025]
  • Heeyoon Chung, Dong-Ho Rhee, Young Seok Kang, Sangook Jun, Jaiho Kim, Seunghwan Kang, Seokmin Kim, Dong-Eun Lee, 2022, “Integrated Design Platform for Micro Gas Turbine Engine,” Korea Aerospace Research Institute Internal Research Report, FR20M24, Korea
  • Young Seok Kang, Seokmin Kim, DongEun Lee, Heeyoon Chung, & Dong-Ho Rhee, 2024, “Design and Performance Assessments on 400N Thrust Micro Gas Turbine,” Proceedings of the 2024 KSFM Annual Winter Meeting, Jeju, Korea.
  • Heeyoon Chung, Dong-Ho Rhee, Young Seok Kang, 2021, “Simulation of Aero-propulsion Micro Gas Turbine Engine Using CFD,” The KSFM Journal of Fluid Machinery, Vol. 24, No. 1, pp. 5∼12. [https://doi.org/10.5293/kfma.2021.24.1.005]
  • Dong-Eun Lee, Heeyoon Chung, Young Seok Kang, Dong-Ho Rhee, 2024, “A Study of an Integrated Analysis Model with Secondary Flow for Assessing the Performance of a Micro Turbojet Engine,” Applied Sciences 14, No. 17: 7606. [https://doi.org/10.3390/app14177606]
  • Dong-Eun Lee, Seokmin Kim, Heeyoon Chung, Young Seok Kang, Dong-Ho Rhee 2022, “Implementation of Engine Start Control Logic of Micro Gas Turbine Engine Using Arduino,” The KSFM Journal of Fluid Machinery, Vol. 25, No. 5, pp. 37∼46. [https://doi.org/10.5293/kfma.2022.25.5.037]
  • Dong-Eun Lee, Seokmin Kim, Heeyoon Chung, Young Seok Kang, Dong-Ho Rhee, 2022, “Development of Micro Gas Turbine Engine Operation Control Logic for UAVs based on Arduino,” Proceedings of the 2022 KSFM Annual Summer Meeting, Gangwon, Korea
  • Yunsup Hwang, Seokmin Kim, Dong-Eun Lee, Dong-Ho Rhee, Heeyoon Chung, Young Seok Kang, 2023, “Research of Turbofan Engine Derived from Micro Turbojet Engine,” The KSFM Journal of Fluid Machinery, Vol. 26, No. 2, pp. 36∼42 [https://doi.org/10.5293/kfma.2023.26.2.036]
  • Yunsup Hwang, Seokmin Kim, Dong-Eun Lee, Dong-Ho Rhee, Hee-Yoon Chung, Young Seok Kang, 2024, “Design and Performance Evaluation of Low Bypass Micro Turbofan Engine Based on Micro Gas Turbine,” The KSFM Journal of Fluid Machinery, Vol. 27, No. 5, pp. 16∼27. [https://doi.org/10.5293/kfma.2024.27.5.016]
  • Yunsup Hwang, 2024, “Research on Derivative Development of Micro Turbofan Engine using Micro Gas Turbine,” Master's Thesis, Aerospace System Engineering, University of Science and Technology
  • Dong-Eun Lee, Seokmin Kim, Yunsup Hwang, Young Seok Kang, Dong-Ho Rhee, 2024, “A Study of Afterburner Design and Performance Evaluation for Micro Gas Turbine Engine,” Proceedings of the 2024 KSFM Annual Summer Meeting, Gangwon, Korea
  • Sangyoon Lee, Young Seok Kang, Seokmin Kim, Jaiho Kim, Hyungmo Kim, Poomin Park, Dong-Eun Lee, Dong-Ho Rhee, Byeungjun Lee, Heeyoon Chung, Jaesung Huh, 2024, “Research on Combustor Modification technology for the Development of Lab-Scale Hydrogen Turbo Generator based on Micro Gas Turbine,” Korea Aerospace Research Institute Internal Research Report, KR24220, Korea
  • Dong-Ho Rhee, Jaesung Huh, Young Seok Kang, Sangook Jun, Poomin Park, Hyungmo Kim, Jaiho Kim, Kyungjae Lee, 2019, “Introduction of Research Activities on 3D Printing Technology for Micro Gas Turbines,” Proceedings of the 2019 KSFM Annual Summer Meeting, Gangwon, Korea
  • Taegee Min, Kyung Suk Min, Yinam Hwang, Yeongman Choi, Eui-Suk Jeong, Yong Han, Dong-Ho Rhee, Young Seok Kang, Heeyoon Chung, 2020, “Development and Manufacturing of 30kgf Thrust Micro Turbojet Engine,” Proceedings of the KSFM Annual Winter Meeting, Jeonnam, Korea
  • Taegee Min, Kyung Suk Min, Yinam Hwang, Yeongman Choi, Eui-Suk Jeong, Dong-Ho Rhee, Young-Seok Kang, Heeyoon Chung, 2021, “Manufacturing Process of Micro Turbojet Engine,” Proceedings of the 2021 KSFM Annual Summer Meeting, Gangwon, Korea

Fig. 1

Fig. 1
Distributions of (a) mass flow rate (b) pressure ratio and (c) rotating speed of micro gas turbine engine(1)

Fig. 2

Fig. 2
(a) Micro gas turbine sizing and performance analysis tool and (b) 3D CAD generator(2)

Fig. 3

Fig. 3
Distributions of (a) total pressure (b) total temperature and (c) streamlines from an integrated CFD analysis result of a 300N class micro gas turbine engine(4)

Fig. 4

Fig. 4
Distributions of (a) total temperature and (b) streamlines from an integrated CFD analysis result of a supersonic micro gas turbine engine module

Fig. 5

Fig. 5
Micro gas turbine engine control logic and hardware development kit(6)

Fig. 6

Fig. 6
Distributions of (a) engine rotating speed, (b) engine exhaust temperature during start up sequence(6) and (c) PID control response(7) of a 300N class micro gas turbine engine

Fig. 7

Fig. 7
3D CAD model and manufactured test rig of (a) a high bypass turbofan engine(8) and (b) a low bypass turbofan engine(9), derived from a 15kW class micro turbopro engine

Fig. 8

Fig. 8
Thrust distributions of (a) a high-bypass turbofan engine and (b) a low-bypass turbofan engine, based on the turbofan engine configurations(10)

Fig. 9

Fig. 9
Afterburner test rig of a supersonic micro gas turbine engine during the afterburner combustion(11)

Fig. 10

Fig. 10
Schematic and manufactured turbogenerator test rig based on a 15kW-class micro turboshaft engine, (b) measured power and (c) current as a function of the load bank configuration(12)

Fig. 11

Fig. 11
Additively manufactured components in a 300N-class micro gas turbine engine(13)

Fig. 12

Fig. 12
S&H (a) Micro turbojet engine assembly modeling(14) and (b) its performance testing(15)