
써모사이폰 응축부 소수성 코팅 특성에 따른 열전달 성능 및 가시화
Abstract
This study investigates hydrophobic surface modifications on condensation heat transfer in a visualization-type thermosyphon. Three surfaces—PDMS-based SiO₂ nanoparticle coating (nPDMS), wet-etched, and amorphous fluoropolymer (AF)—were applied to the condenser section and evaluated for thermal resistance, heat transfer coefficients, and condensation behavior. While performance was similar at low heat flux, significant differences appeared at higher flux: at 4 W/cm², the AF coating reduced thermal resistance by∼20% and doubled condensation heat transfer coefficients compared to the bare surface by promoting rapid droplet departure (∼2 mm), whereas the nPDMS surface showed poor performance due to delamination and large hysteresis, and the etched surface shifted from dropwise to filmwise condensation. Overall, AF coatings demonstrated superior durability and thermal performance, highlighting their potential for practical thermosyphon applications.
Keywords:
Thermosyphon, Two-phase heat transfer, condensation, Visualization키워드:
써모사이폰, 상변화 열전달, 응축, 가시화1. 서 론
최근 전자기기와 각종 기계 장치의 성능 향상과 소형화에 따라 열관리의 중요성이 더욱 커지고 있다. 효율적인 냉각은 전자장비의 성능 유지와 수명 연장에 직접적인 영향을 미칠 뿐만 아니라, 에너지 효율성 확보에도 핵심적인 역할을 한다. 일반적인 냉각 방식은 외부 에너지를 투입하는 액티브(Active) 냉각과 자연적인 열전달 현상을 이용하는 패시브(Passive) 냉각으로 구분된다. 액티브 냉각은 팬이나 펌프와 같은 장치를 활용하여 빠르고 효율적인 열제거가 가능하다는 장점을 가지지만, 지속적인 전력 소모와 구조적 복잡성으로 인해 한계가 있다. 반면 패시브 냉각은 전도, 대류, 복사와 같은 자연 현상을 이용하여 별도의 전력 소모 없이 열을 제거할 수 있어 단순한 구조와 높은 신뢰성을 갖추며, 유지보수가 거의 필요하지 않아 친환경적이고 에너지 절약적이라는 장점을 지닌다. 본 연구에서는 다양한 패시브 냉각 기술 중 밀폐형 이상 써모사이폰(Two-Phase Closed Thermosyphon, TPCT)에 주목하였다.(1)
TPCT는 윅이 없는 히트파이프(Wickless heat pipe)로 불리며, 작동유체의 2상 열전달 과정을 이용해 비등부에서 흡수한 열을 응축부를 통해 방출하는 수동형 열전달 장치이다.(2) 이 장치는 낮은 열저항으로 효율적인 열제거가 가능하다는 점에서 주목받고 있다. 써모사이폰은 폐열 회수(3), 고발열 전자장비(4) 및 서버 통신장비(5), 배터리 팩(6), 태양열 집열기(7), 제설 및 제빙(8) 등 다양한 산업 분야에서 활용되고 있다.
밀폐형 써모사이폰은 Fig. 1처럼 밀폐된 금속관과 내부 작동 유체로 구성된다. 그리고 역할에 따라서 증발부, 단열부, 응축부 세 부분으로 나눠지며, 증발부는 액체 상태의 작동유체가 열을 흡수하여 비등을 통해 증기로 변하며, 증기는 밀도차이에 의해 단열부를 지나 응축부까지 공급된다. 응축부에서는 증기가 차가운 벽면을 만나 응축되며, 이때 증기의 잠열이 외부로 방출되고, 응축된 작동 유체는 벽면을 따라 단열부에서 증발부로 다시 돌아가게 된다. 밀폐형 써모사이폰의 효과적인 상변화 열전달 성능을 위한 연구들이 진행되어 왔으며 내부 작동유체(9), 형태(10), 경사각(11), 내부 충진율(12) 등 여러 설계 변수에 따라 다양한 연구가 수행되어 왔다.
써모사이폰의 열전달 성능은 윅이 없기 때문에 표면 개질의 영향을 크게 받는다. 지금까지 연구들은 비등부 표면을 친수성 표면으로 개질하여 버블의 빠른 탈락을 통한 비등부 열전달 성능을 증가시키는 연구(13)와 응축부 표면을 소수성 표면으로 개질시켜 적하 응축을 유도하여 액적의 빠른 제거를 통한 응축부 열전달 성능을 향상시키는 연구들이(14) 진행되었다. 일반적으로 응축은 두 가지로 구분할 수 있는데 막응축과 적하 응축이다. 막응축은 친수성 표면에서 발생하며 응축 초기에는 유리하지만 점점 액막이 두꺼워지면서 액막이 열저항으로 작용하여 열전달 성능이 감소한다. 반면 적하응축은 응축수가 액적 형태로 성장하며 중력에 의해 빠르게 제거되기 때문에 응축 열전달 성능 향상에 유리하다.(15)
기존 연구들의 응축부 표면을 소수성으로 개질하는 방법은 금속 표면에 나노입자 기반의 코팅을 하는 방법과(16) 금속 표면에 폴리머 계열 물질을 코팅하는 방법(17) 등 다양한 방법들이 제시되었다. 이러한 방법으로 제작된 소수 표면은 응축부 열전달 성능을 향상시키고, 결과적으로 써모사이폰 전체 열저항을 감소시키는 데 기여하였다.
본 연구에서는 알칼리계열 산화제를 이용한 습식 식각 방법과 PDMS와 SiO2 나노입자를 딥코팅 방식으로 코팅하는 소수성 표면, 그리고 불소계 폴리머 AF 용액을 이용한 소수성 표면으로 써모사이폰 가시화 실험을 진행하였다. 만들어진 시편들은 모두 소수성 표면이지만 다른 동접촉각을 띄고 있기 때문에 써모사이폰 응축부의 응축 거동을 비교하였으며, 이러한 현상이 응축부 열전달 성능과 써모사이폰 전체 열전달 성능에 미치는 영향을 비교하였다. 열전달 성능을 평가하기 위해서 써모사이폰의 온도, 압력을 측정하였으며 측정된 데이터를 바탕으로 열저항과 열전달계수를 비교하였다. 결과적으로 불소계 폴리머 AF를 적용한 응축부는 Bare 표면 대비 약 2배 향상된 응축부 열전달 성능을 보였으며, 전체 열저항은 약 20% 감소하였다.
2. 실험 방법 및 장치
2.1 써모사이폰 가시화 실험 시편 준비
본 실험에서는 서로 다른 특성을 가지는 소수성 시편을 비등파이프 가시화 실험장치 응축부에 적용하였다. 시편은 구리 평판 위에 제작하였으며, 실험에 사용된 시편은 PDMS 기반 SiO₂ 나노입자 소수성 표면(nPDMS), 습식 식각(etching) 기법을 이용한 소수성 표면, 비정질 불소계 폴리머(AF) 소수성 표면으로 제작하였다. 모든 시편은 제작 전에 염산에 담가 표면을 처리한 후, 아세톤과 증류수에 각각 5분간 세척하여 순수한 구리 표면 상태를 확보하였으며, 균일한 표면 형성을 위해 샌드페이퍼(#600, #800, #1000, #2000 순서)로 연마하였다.
먼저, nPDMS 표면은 테트라하이드로퓨란(THF) 용액 기반에 PDMS와 큐어링 에이전트, SiO2 나노입자를 10 : 1 : 0.1 : 0.2의 질량비로 혼합하여 제작하였다. 나노입자를 첨가하였기 때문에 용액의 분산성을 확보하기 위해 마그네틱 교반기로 30분, 초음파 분산기로 1 시간 동안 처리하여 용액을 준비하였다. 이후 구리 표면을 용액에 30 초간 딥코팅(Dip-coating) 한 뒤, 대기 조건에서 THF 용액을 휘발시킨 후 120 ℃ 오븐에서 2 시간 동안 열처리하여 경화시켜 소수성 표면을 제작하였다. 최종적으로 약 125 °의 정접촉각(Static contact angle)을 가지는 표면을 얻었다.
습식 에칭을 이용한 소수성 표면은 강알칼리성 산화제 수용액을 조제하여 진행하였다. 용액은 2.5 mol/l 수산화나트륨(NaOH)과 0.1 mol/l 과황산암모늄(Ammonium persulfate)을 혼합하여 준비하였다. 용액의 온도는 40 ℃로 유지한 상태에서 구리 표면을 침적시켜 2 시간 동안 습식 에칭을 수행하였다. 그리고 증류수에 세척 과정을 거친 뒤, 180 ℃ 오븐에서 2 시간 동안 완전히 건조하여 산화구리(II, CuO) 표면을 형성하였다. 제작된 표면은 113.6 °의 정접촉각을 나타내었다.
AF 표면은 상용 용액(Teflon™, AF 2400X sol 1% FC-40)을 이용하여 제작하였다. 제작은 딥코팅 방식을 적용하였으며, AF 용액에 2 분간 침적한 후 표면에 남은 용액을 제거하고, 120 ℃ 오븐에서 2 시간 열처리하여 경화시켜 제작하였다. 만들어진 표면은 127 °의 정접촉각을 나타내었다.
일반적인 열교환기 응축부의 응축 표면은 소수성 표면으로 제작하여 적하 응축 상태를 유도하는 것이 응축수를 빠르게 제거할 수 있기 때문에 유리하다. 그러나 소수성 표면이라도 실제 수직 환경에서는 접촉각 이력(contact angle hysteresis)의 영향을 크게 받으므로, 제작된 표면들의 동적 접촉각(dynamic contact angle)을 측정하였다. Fig. 2는 각 표면의 동적 접촉각을 나타낸다. Fig. 2(a)는 기본 표면으로 전진 접촉각이 113.3°, 후퇴접촉각이 24.2 °로 약 89.1 °의 큰 접촉각 이력을 보였으며, 이는 경사면에서 액적 이동에 저항이 크다는 것을 의미한다. Fig. 2(b)는 nPDMS 표면의 동적 접촉각으로, 접촉각 이력은 약 60.7 °로 기본 표면과 유사하게 높은 접촉각 이력을 확인하였다. Fig. 2(c)는 AF 표면의 동적 접촉각을 보여주며, 접촉각 이력은 4.8 °로 매우 낮아 약간의 경사에도 액적 이동이 발생함을 확인하였다. 마지막으로 Fig. 2(d)의 Etching 표면은 9.3 °의 접촉각 이력을 나타냈다.
2.2 써모사이폰 가시화 실험 장치
써모사이폰 실험을 통한 열전달 성능 확인과 가시화를 위해 Fig. 3(a)처럼 실험 장치를 제작하였다. 실험 장치는 크게 써모사이폰 가시화 장치, 전원 공급부, 냉각 장치, DAQ 시스템으로 구성된다. 써모사이폰 가시화 실험 장치는 Fig. 3(a)처럼 구성되어 있으며, 실험 시편과 히터 및 워터 재킷을 제외한 재료는 실험 중 단열을 위해 낮은 열전도율을 가진 PEEK 0.2 W/m⋅K와 가시화 및 단열을 위해 보로실리케이트 유리(Pyrex glass) 1.1 W/m⋅K를 사용하여 제작하였다. 또한, 히터 및 워터자켓을 감싸는 단열재로는 고온에서도 안정적인 성능을 확보하기 위해 Keeprecision-400을 사용했으며 해당 재료의 연속 사용온도는 400 ℃, 열전도율은 0.03 W/m⋅K이다.
(a) Overall view and cross-sectional view of TPCT; (b) schematic of the TPCT setup and temperature sensor and pressure transducer attachment positions
실험장치는 전체 길이 450 mm, 너비 40 mm, 깊이 15mm의 사각 덕트 형태로 제작되었으며, 증발부 300 mm, 단열부 20 mm, 응축부 130 mm로 구성된다. 작동유체로는 탈기 증류수를 사용하였으며, 충진율은 비등부의 50%로 설정하였으며, 모든 실험은 진공환경에서 수행되었다.
Fig. 3(b)는 전체 실험 장치의 계략도를 보여주며, 하단의 증발부에는 슬라이닥스(Slide-ac-2K220, DAELIMEC™, Korea)와 디지털 파워미터(WT310E, YOKOGAWA, Japan)를 통해 카트리지 히터(KS – MSCHN8 – 300 – V220 – W1000, MISUMI™, Korea)에 전원을 공급하여 열원을 제공하였다. 상단의 응축부에서는 항온 순환 수조(RW3-2025, JEIOTECH™, Korea)와 니들 밸브, 플로우 미터(FLR1000, OMEGA™, USA) 통해 200 ml/min의 일정한 유량과 20 ℃의 일정한 온도의 냉각수를 공급하였다.
Fig. 3(b)의 우측 그림은 열전달 성능 평가를 위한 센서들의 부착위치를 나타내며, 붉은 점은 내부 온도 측정을 위한 열전대 6개소, 파란 점은 외부 벽면 온도 측정을 위한 열전대 4개소를 표시한다. 모든 온도 측정에는 T-타입 열전대(T-type, OMEGA™, USA)가 사용되었다. 또한 내부 압력을 측정을 위해 응축부 상단에 압력 트랜스듀서(PX309-100AI, OMEGA™, USA)를 장착하였다. DAQ 시스템(NI cDAQ-9178, NI 9207, NI 9210, NI 9923, NATIONAL INSTRUMENTS, USA)은 LabVIEW 프로그램을 이용하여 센서들과 디지털 파워미터와 연동시켜 온도, 압력, 유량, 전력 데이터를 실시간으로 취득하고, 이를 통해 열 성능 지표를 확인할 수 있도록 설정하였다. 그리고 버블 유동을 확인하기 위한 가시화는 초고속 카메라(MIRO C211, PHANTOM, USA)를 통해 가시화 동영상을 촬영하였다.
2.3 실험 데이터 계산
실험에 사용된 각종 센서 및 장치로 취득된 데이터는 써모사이폰 가시화 실험 시편들의 열전달 성능 계산을 위해 활용되었다. 먼저, 공급된 열량은 카트리지 히터로 공급된 전력 Qinput 을 통해 계산하였으며, 이는 식 (1)로 표현된다. 여기서 V 는 전압 I 는 공급 전류이다.
| (1) |
그리고 응축부를 통해 외부로 방출된 열량 Qout 은 항온 순환 수조의 냉각수 열교환량을 기반으로 식 (2)로 계산하였다. 여기서 Cp,water 은 물의 정압 비열, 은 유량, ∆Twater는 응축부 워터재킷 전후 냉각수 온도 차를 의미한다.
| (2) |
전력 계산을 통해 얻은 값은 공급 열량에 따른 전체 열저항 Rover, 비등부 열전달계수 he, 응축부 열전달계수 hc를 산출하는 데 사용되었다. 전체 열저항은 비등부 외부 벽면 평균 온도 To,e,w 와 응축부 외부 벽면 평균 온도 To,c,w 을 사용하였다. 또한, 비등부 및 응축부 열전달계수는 벽면온도와 내부 유체의 포화온도 Tsat 값의 차이와 면적 A를 고려하여 식 (3)∼(5)로 계산하였다.
| (3) |
| (4) |
| (5) |
3. 결과 및 토론
3.1 열저항
Fig. 4(a)는 실험 시편들의 열유속에 따른 전체 열저항 결과를 나타낸다. 실험은 약 0.4 W/cm2 범위부터 5.5 W/cm2의 열유속까지 진행되었으며, Bare 시편의 경우 막응축에 의해 응축된 유체가 비등부 상단을 넓게 적시며 내려왔지만, 소수성 시편의 경우 적하응축에 의해 비등부 상단에 부분적으로 건조현상이 발생하여, 벽면 온도가 과도하게 높아짐에 따라 비교적 낮은 4.0 W/cm2 열유속 범위까지 실험을 진행하였다. 약 1 W/cm2의 낮은 열유속 구간에서는 AF시편을 제외하고 유사한 열저항 값을 보였으며, AF 시편은 다소 높은 값을 나타냈다. 4 W/cm2의 높은 열유속에서는 Bare 표면이 0.1 ℃/W의 값을 보였고, AF 표면은 0.8 ℃/W로 Bare 대비 20% 낮은 값을 나타냈다. Etching 표면은 0.11 ℃/W, nPDMS 표면은 가장 높은 약 0.13 ℃/W의 열저항을 기록하였다.
이러한 결과는 Bare 시편을 제외한 나머지 시편들이 응축부에 소수성 표면 개질을 했음에도 불구하고, 서로 다른 열저항 특성을 보였음을 의미하며, 이는 응축 열전달 메커니즘의 차이에 기인한다고 판단된다. 특히 nPDMS 표면의 경우 실험 후 응축부 표면을 관찰한 결과 Fig. 4(b)와 같이 구리표면에서 PDMS 폴리머가 박리되는 현상이 확인되었다.
3.2 열전달계수
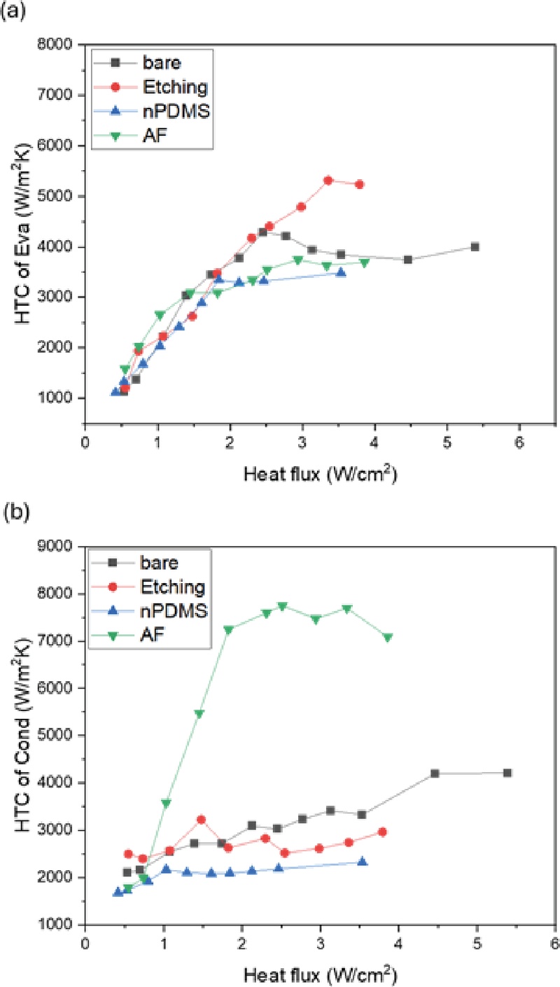
Fig. 5(a)는 비등부 열전달계수 결과를 보여주며, 비등부의 경우 표면 개질이 이루어지지 않은 구리이므로 전반적으로 유사한 열전달계수 값을 나타냈다. Fig. 6에서 Bare 시편의 비등부 2상 기포 유동을 관찰한 결과, 모든 시편에서 동일하게 가이저 보일링(Geyser boiling) 현상이 발생하였다. 가이저 보일링은 비등으로 형성된 기포가 탈락하여 상승하는 과정에서 강한 증기 유동을 발생시키고, 이에 따라 액체가 같이 상승하는 현상을 말한다. 이 과정에서 응축부에서 형성된 응축액를 함께 제거하는 효과가 나타났다. 또한 열유속이 증가할수록 가이저 보일링에 의해 비등부의 유체를 더 위로 끌어올리는 모습이 관찰되었으며, 4.0 W/cm2에서는 응축부 끝단까지 유체가 도달하였다.
(a) evaporator section HTC as function of heat flux and (b) condenser section HTC as function of heat flux
Timelapse visualization of the overall TPCT for bare specimen: (a) q"=1.0 W/cm2 and (b) q"=4.0 W/cm2
Fig. 5(b)는 응축부 열전달계수 결과를 보여주며, 시편 특성에 따라 다른 거동을 나타냈다. Bare 시편은 저열유속에서 고열유속까지 2000 W/m2⋅K∼6000 W/m2⋅K의 응축부 열전달계수를 보였다. Etching 시편의 경우 전구간에서 약 2500 W/m2⋅K 수준으로 일정한 응축부 열전달계수를 나타냈다. nPDMS 시편은 저열유속에서 1500 W/m2⋅K를 보였으며, 1 W/cm2 이상에서는 2000 W/m2⋅K 수준으로, Bare 대비 30% 낮은 성능을 나타냈다. 반면 AF 시편은 가장 우수한 응축부 열전달계수를 보였으며, 저열유속에서 1500 W/m2⋅K부터 시작해 고열유속에서는 7000 W/m2⋅K로 Bare 대비 약 2배 정도의 높은 값을 기록하였다.
3.3 응축부 응축 가시화
전체 열저항과 열전달계수 결과를 바탕으로, 전체 성능의 변화가 응축부 표면 개질에 의해 발생한 것을 확인하였다. 이에 응축부 벽면에서의 응축 특성을 규명하기 위해 초고속 카메라를 이용한 응축 거동 가시화를 진행하였다. 초고속 카메라는 1000 fps의 프레임 속도로 설정하여 촬영하였다.
Fig. 7(a)는 bare 조건에서 열유속에 따른 응축 거동 변화를 보여준다. 저열유속에서는 막응축 형태로 응축부 전면을 덮으며 응축이 진행되었고, 고열유속에서는 증기 유동의 영향으로 응축 액막의 일부가 다시 위로 끌려 올라가는 현상이 관찰되었다.
Visualization images of condensation behavior at the condenser section for each specimen at 2"=1.0 W/cm2 and q"=4.0 W/cm2: (a) bare, (b) Etching, ⓒ nPDMS and (d) AF
Fig. 7(b)는 Etching 시편의 응축 거동을 나타내며, 초기에는 큰 액적의 적하 응축 형태를 보이다가 고열유속에서 막응축으로 전환되는 모습을 확인하였다. 이러한 응축 형태의 변화로 인해 bare 대비 낮은 응축부 열전달계수를 나타낸 것으로 판단된다.
Fig. 7(c)는 nPDMS 시편의 응축 거동으로, 저열유속과 고열유속에서 모두 적하 응축이 확인되었지만, 높은 접촉각 이력으로 인해 액적이 충분히 성장하지 못하면 하강하지 못하고 벽면에 매달려 있는 현상이 관찰되었다. 하강이 시작될 때 액적 지름은 대략 4 mm 정도로 확인되었다. 또한, 고열유속에서는 응축이 폴리머와 구리표면 사이에서 발생하여 부분적으로 코팅이 손상되는 현상이 관찰되었다. nPDMS 시편의 낮은 응축부 열전달계수는 이러한 시편 코팅의 손상과 높은 접촉각 이력으로 인한 유동 저항 때문인 것으로 분석된다.
Fig. 7(d)는 AF의 응축 거동으로, nPDMS 시편에 비해 작은 액적 크기에서도 하강이 시작되었으며, 액적 지름은 약 2 mm로 nPDMS 대비 절반 수준에서 하강이 관찰되었다. 또한, 실험 후 표면을 확인한 결과 코팅 손상은 전혀 발생하지 않았고 소수성 특성도 유지가 되었으므로 내구성 측면에서도 우수한 성능을 보였다.
4. 결 론
본 연구에서는 서로 다른 소수성 표면을 적용한 써모사이폰 실험을 수행하였으며, 이 때 응축부 표면에서 발생하는 열전달 성능과 응축 거동에 미치는 영향을 분석하였다. 주요 결론은 다음과 같다.
- 1) 저열유속 구간에서 모든 시편이 유사한 열저항 값을 나타냈으나, 고열유속에서 AF 표면이 Bare 대비 20% 더 낮은 열저항을 보여 우수한 열전달 성능을 나타냈다.
- 2) 비등부 열전달계수는 모든 시편에서 유사한 특성을 보였으나, 응축부 열전달계수는 표면 특성에 따라 분명한 차이가 나타났다. 특히 AF 표면은 Bare 대비 고열유속에서 약 2배 높은 응축부 열전달 계수를 보여 가장 우수한 성능을 나타냈다.
- 3) 응축 거동 가시화 결과, AF 표면의 경우 작은 액적(2 mm)에서도 쉽게 액적이 하강하여 응축수가 응축부 벽면에서 빠르게 제거되었다. 반면 nPDMS 표면의 경우 상대적으로 큰 액적(4 mm)에서 액적 하강을 확인하였으며, Etching 시편은 초기엔 적하 응축을 나타냈으나 고열유속에서 막응축으로 변화하여 상대적으로 낮은 성능을 나타냈다.
Acknowledgments
본 연구는 산업통상자원부 에너지수요관리핵심기술개발사업의 일환으로 수행되었으며, 한국에너지기술평가원의 연구비(과제번호: Grant No. 20212020800270 and RS-2024-00436521) 지원으로 이루어졌으며 이에 감사드립니다.
References
-
Noie, S. H., 2005, “Heat transfer characteristics of a two-phase closed thermosyphon.” Applied Thermal Engineering, 25(4), pp. 495-506.
[https://doi.org/10.1016/j.applthermaleng.2004.06.019]
-
Shiraishi, M., Kikuchi, K., and Yamanishi, T., 1982, “Investigation of Heat Transfer Characteristics of a Two-Phase Closed Thermosyphon,” in Advances in Heat Pipe Technology, Pergamon, pp. 95–104.
[https://doi.org/10.1016/B978-0-08-027284-9.50015-2]
-
Kim, Y., Kim, J. S., Shin, D. H., You, S. M., and Lee, J., 2020, “Enhanced Thermal Performance of a Thermosyphon for Waste Heat Recovery: Microporous Coating at Evaporator and Hydrophobic Coating at Condenser,” Applied Thermal Engineering, Vol. 175, 115332.
[https://doi.org/10.1016/j.applthermaleng.2020.115332]
-
Liu, H. R., Li, B. J., Hua, L. J., and Wang, R. Z., 2022, “Designing Thermoelectric Self-Cooling System for Electronic Devices: Experimental Investigation and Model Validation,” Energy, Vol. 243, 123059.
[https://doi.org/10.1016/j.energy.2021.123059]
-
Lee, Y. T., Wen, C. Y., Shih, Y. C., Li, Z., and Yang, A. S., 2022, “Numerical and Experimental Investigations on Thermal Management for Data Center with Cold Aisle Containment Configuration,” Applied Energy, Vol. 307, 118213.
[https://doi.org/10.1016/j.apenergy.2021.118213]
-
Tran, T. H., Harmand, S., and Sahut, B., 2014, “Experimental Investigation on Heat Pipe Cooling for Hybrid Electric Vehicle and Electric Vehicle Lithium-Ion Battery,” Journal of Power Sources, Vol. 265, pp. 262–272.
[https://doi.org/10.1016/j.jpowsour.2014.04.130]
-
Fathabadi, H., 2020, “Novel Low-Cost Parabolic Trough Solar Collector with TPCT Heat Pipe and Solar Tracker: Performance and Comparing with Commercial Flat-Plate and Evacuated Tube Solar Collectors,” Solar Energy, Vol. 195, pp. 210–222.
[https://doi.org/10.1016/j.solener.2019.11.057]
-
Lee, S. J., Kang, S. K., Seo, J. H., and Lee, J. H., 2024, “Thermal Performance of Eco-Friendly Thermosyphon for Snow Melting and Anti-icing,” The KSFM Journal of Fluid Machinery, Vol. 27, No. 4, pp. 5–15.
[https://doi.org/10.5293/kfma.2024.27.4.005]
-
Jouhara, H., and Robinson, A. J., 2010, “Experimental Investigation of Small Diameter Two-Phase Closed Thermosyphons Charged with Water, FC-84, FC-77 and FC-3283,” Applied Thermal Engineering, Vol. 30, Nos. 2–3, pp. 201–211.
[https://doi.org/10.1016/j.applthermaleng.2009.08.007]
-
Maydanik, Y. F., 2005, “Loop Heat Pipes,” Applied Thermal Engineering, Vol. 25, Nos. 5–6, pp. 635–657.
[https://doi.org/10.1016/j.applthermaleng.2004.07.010]
-
Zhang, M., Lai, Y., Pei, W., and Jin, L., 2014, “Effect of Inclination Angle on the Heat Transfer Performance of a Two-Phase Closed Thermosyphon under Low-Temperature Conditions,” Journal of Cold Regions Engineering, Vol. 28, No. 4, 04014007.
[https://doi.org/10.1061/(ASCE)CR.1943-5495.0000074]
-
Jiao, B., Qiu, L. M., Zhang, X. B., and Zhang, Y., 2008, “Investigation on the Effect of Filling Ratio on the Steady-State Heat Transfer Performance of a Vertical Two-Phase Closed Thermosyphon,” Applied Thermal Engineering, Vol. 28, Nos. 11–12, pp. 1417–1426.
[https://doi.org/10.1016/j.applthermaleng.2007.09.009]
-
Kang, S., Lee, S., and Lee, J., 2024, “Thermal Performance Enhancement in Two-Phase Closed Thermosyphon with Sandblasted Evaporator Surface,” International Communications in Heat and Mass Transfer, Vol. 159, 108027.
[https://doi.org/10.1016/j.icheatmasstransfer.2024.108027]
-
Kim, Y., Kim, J. S., Shin, D. H., Seo, J. H., You, S. M., and Lee, J., 2019, “Effects of Hydrophobic and Superhydrophobic Coatings of a Condenser on the Thermal Performance of a Two-Phase Closed Thermosyphon,” International Journal of Heat and Mass Transfer, Vol. 144, 118706.
[https://doi.org/10.1016/j.ijheatmasstransfer.2019.118706]
-
Kim, D. E., Ahn, H. S., and Kwon, T. S., 2017, “Experimental Investigation of Filmwise and Dropwise Condensation inside Transparent Circular Tubes,” Applied Thermal Engineering, Vol. 110, pp. 412–423.
[https://doi.org/10.1016/j.applthermaleng.2016.08.175]
-
Hosseinzadeh, K., Ganji, D. D., and Ommi, F., 2020, “Effect of SiO₂ Super-Hydrophobic Coating and Self-Rewetting Fluid on Two-Phase Closed Thermosyphon Heat Transfer Characteristics: An Experimental and Numerical Study,” Journal of Molecular Liquids, Vol. 315, 113748.
[https://doi.org/10.1016/j.molliq.2020.113748]
-
Seo, D., Park, J., Shim, J., Nam, J., Shin, D. H., Nam, Y., and Lee, J., 2021, “Enhancing Heat Transfer Performance of a Two-Phase Closed Thermosyphon Using a Polymer-Coated Hydrophobic Condenser,” Applied Thermal Engineering, Vol. 196, 117350.
[https://doi.org/10.1016/j.applthermaleng.2021.117350]


