
스팀 히트펌프용 쉘 앤 튜브(가스쿨러)형 열교환기 최적 설계
Abstract
In this paper, analytical studies were conducted to determine the optimal design factors and analysis parameters of a shell-and-tube(gas cooler) type heat exchanger for a steam heat pump. Prior to the heat exchanger design, the thermophysical properties of the refrigerant R1336mzz(Z) in the supercritical region were analyzed. It was found that, in the supercritical region, the density and viscosity increase with pressure, whereas the specific heat decreases. The target heat transfer rate of the heat exchanger was 3,738 kW, and the pressure drops were set to be less than 50 kPa on the shell side and less than 100 kPa on the tube side. The design factors of the shell-and-tube heat exchanger included tube length, outer diameter, and spacing, as well as the number of tube passes and shell baffles. It was found that a shell and tube type heat exchanger required approximately 1,503 tubes, and the overall heat transfer coefficient(U) of the gas cooler was calculated to be about 1.347 kW/m2℃. The design factors and analysis parameters satisfying the target values were obtained. As a result, a shell-and-tube heat exchanger design achieving an overall heat transfer coefficient nearly 100% higher than that under standard conditions was proposed.
Keywords:
Heat exchanger, Gas cooler, Refrigerant, Steam heat pump, supercritical키워드:
열교환기, 가스쿨러, 냉매, 스팀 히트펌프, 초임계1. 서 론
최근 고온의 스팀을 생산하는 보일러를 히트펌프(heat pump)로 대체하기 위한 연구 및 개발이 수행되고 있다.(1-4)
이에 따라 히트펌프를 주요 구성 요소인 열 교환기(heat exchanger)에도 연구 및 개발이 필요한 실정이다. 본 연구에서는 3MW급 180℃ 스팀 생산을 위한 히트펌프에 쉘 앤 튜브 형 열교환기(shell and tube heat exchanger)를 적용하기 위한 연구를 수행하였다.
일반적인 쉘 앤 튜브 열교환기는 낮은 유지보수 비용과 압력 강하량이 적다는 장점 때문에 산업계에서 널리 이용되고 있다. 예를 들어 산업용 발전소의 응축기, 석유화학 공정의 예열 및 냉각 시스템 등에 이용되고 있다.(5,6,10) 관련 산업계에서 약 30% 이상 쉘 앤 튜브 열교환기를 사용한다고 알려져 있다.(6) 또한 열전달률을 크게 늘릴 수 있는 장점도 있다. 하지만, 판형 및 쉘 플레이트 등에 비하여 부피가 크고, 효율이 상대적으로 낮다는 단점을 갖는다.
최근 연구결과를 보면, Chen 등(5)은 유전 알고리즘을 이용한 쉘 앤 튜브 열교환기의 최적화 과정을 통해 작동성 개선과 비용 절감에 관한 연구를 수행하였다. Honang 등(7)은 쉘 측 배플(baffle)의 다양한 구조 및 각도 변화에 따른 압력 강하량과 열전달에 대한 연구를 수행하였으며, 최적화된 배플 형상에 따라 열전달 계수는 약 13.3∼17.4 % 낮아지지만, 평균 압력 강하량 또한 44% 줄일 수 있다고 발표하였다. Wang 등(8)은 쉘 앤 튜브 열교환기의 열전달 성능 향상과 압력 강하량을 최소화하기 위하여 NSGA-Ⅱ 알고리즘을 기반으로 한 실험적 연구를 수행하고 새로운 알고리즘 모델을 제안하였다. 일반적으로 수행되고 있는 쉘 앤 튜브 열교환기에 대한 연구 내용을 종합해 보면 대부분 새로운 해석방법을 통하여 열교환기의 열전달 촉진 및 압력 강하량을 최소화하기 위한 연구가 수행되고 있다. 그리고 참고문헌(9,10)은 쉘 앤 튜브 열교환기의 설계과정을 상세하고 소개하고 있다. 쉘 앤 튜브 열교환기의 경우 여러 산업에서 오랫동안 사용되어 왔기 때문에 다양한 설계 및 응용 방법에 대한 문헌 발표되어 있다. 하지만 대부분 100℃ 이하의 오일 또는 냉각수 등이 적용된 연구 결과이다. 온도가 100℃ 이상에서 연구된 문헌의 경우 부족한 실정이다. 본 연구는 180℃ 이상 스팀을 생산할 수 있는 고온 히트펌프 개발의 선행 과정으로 수행하였다.
작동유체로 상대적으로 사용압력이 낮고, 안정성(A1)이 높은 냉매 R1336mzz(Z)가 적용하였다. 180℃의 스팀을 생산하기 위해서는 현재 적용된 냉매의 임계온도(171.3℃) 보다 높아서 초임계(super-critical) 사이클 적용이 필요하다. 초임계 영역에서 냉매는 액 및 기체의 성질을 동시에 갖기 때문에 물성치에 대한 검토가 우선적으로 필요하다.
R1336mzz(Z) 냉매에 대한 연구문헌을 보면, Kim 등(11)은 R1336mzz(Z) 냉매의 초임계 영역에서 열전달계수에 대한 단관 유동에서의 실험적 연구를 수행한 바 있다. 이때 온도 조건은 약 200℃이다. 그리고 질량유량이 증가함에 따라 커지며, 열전달계수의 범위는 약 1.5∼5.0 kW/m2℃ 범위를 나타낸다고 보고하였다. 하지만 냉매 R1336mzz(Z)을 초임계 조건에서 연구된 문헌은 다소 부족한 실정이다. 따라서 본 연구에서는 기존에 주로 사용됐던 쉘 앤 튜브 열교환기를 고온 스팀 히트펌프에 적용하기 위하여 참고문헌의 설계 방법(9,10,12)을 참조하여 설계를 진행하고, 분석을 통하여 설계 조건에 따른 경향을 검토하고, 적절한 설계안을 제안하고자 한다.
2. 냉매특성 및 표준조건
2.1 냉매특성
R1336mzz(Z) 냉매의 물성치는 NIST ver 10.0(2025년)을 기준으로 하였다. 초임계 영역에서는 물성이 크게 변화할 수 있기 때문에 열전달계수의 선정 및 계산을 위하여 R1336mzz(Z)냉매의 밀도, 점성계수, 정압비열 및 열전도도를 검토하였다. 온도범위는 140∼220℃ 이며, 압력의 범위는 3.0∼4.0 MPa 이다. Table 1은 초임계 영역에서 압력에 따른 평균 물성치를 나타낸 표이다.
압력의 변화에 따른 평균 밀도, 평균 정압비열 및 평균 점도는 각각 489.02∼663.79 kg/m3, 2.22∼2.07 kJ/kg -℃, 0.043∼0.055 g/m-s의 범위를 나타낸다.
종합적으로 보면 압력이 높아짐에 따라 밀도 및 점도는 높아지고, 정압비열은 낮아지는 경향을 보인다. 열전도도의 경우 일부 변화가 있지만 변화폭은 크지 않은 것으로 판단된다. Fig. 1에 나타낸 엔탈피 변화에 따른 정압비열의 경향을 보면 냉매의 임계점 근처인 3.0 MPa 가장 크게 변화하는 것을 확인할 수 있었다. 또한, 압력이 3.5 MPa을 넘는 경우 정압비열의 변화폭이 상당히 감소하는 걸 확인 할 수 있다. 정압비열이 크게 변화 할 경우 열전달시 온도차가 현격하게 감소하여 열전달이 적절하게 이루어지지 않아 열교환기 크기가 과도하게 커질 수 있다. 따라서 R1336mzz(Z)냉매를 초임계 영역에서 활용할 때 압력은 3.5 MPa 이상으로 이용하는 것이 합리적일 것으로 판단된다.
2.2 표준조건
Fig. 2 및 3은 스팀 히트펌프 시스템 중 증기 압축기 부분의 개략도 및 P-h 선도를 나타낸 그림이다. 스팀 히트펌프는 플래시 인터쿨러(flash intercooler)를 중간냉각기로 이용하여 2단으로 구성하고, 내부 열 교환기가 적용되어 있다. 2단 압축기를 거치면서 초임계 영역으로 운전된다. 가스쿨러로 유입되는 143℃의 가압수는 가스쿨러를 거치면서 200℃의 가압된 형태의 고온수가 생성되며, 이후 플래시 탱크 또는 증기 발생기 등을 통하여 180℃의 스팀으로 만들어진다. Table 2는 3 MW급 스팀 생산용 고온 히트펌프에서 요구되는 가스쿨러의 기본 조건을 나타내었다. R1336mzz(Z) 냉매의 압력은 3.56 MPa로 초임계 영역에 해당한다. 냉각수 압력의 경우 온도에 따른 포화압력은 1.7 MPa 이지만 열 교환하는 냉매의 온도를 고려하여 2.0 MPa를 기준조건으로 하였다.
3. 열교환기(가스쿨러)의 해석
3.1 기본형상
Fig. 4는 본 연구의 대상인 가스쿨러 형상을 나타낸 그림이다. 냉매는 작동압력 등을 고려하여 내측, 냉각수는 외측을 흐르도록 구성하였다. 또한, 충분한 열전달 계수를 확보할 수 있도록 튜브 및 쉘 측에 패스(pass) 및 배플(baffle)이 구성되어 있다.
3.2 관련수식
가스쿨러의 설계에는 EES(ver. 11.573)을 활용하였다. Fig. 5는 본 연구에서 작성한 가스쿨러 설계프로그램의 화면이다. 수식 (1)∼(11)는 설계를 위한 수식이다. 열교환기의 계산에는 LMTD 방법을 이용하였다. 그리고 설계를 위한 이론식은 참고문헌(9,10,12)에서의 설계 표준자료를 종합하여 선정하였으며, 내측 열전달계수의 관계식은 일반적으로 많이 사용되고 있는 Dittus-Boelter eq.을 이용하였다.
외측 열전달계수의 경우 Mcadams eq.(12), kern eq.(9) 및 내측과 같은 Dittus-Boelter eq. 등을 종합적으로 검토하였으며, Mcadams eq.(12)의 결과에 약 10% 낮게 계산되는 Dittus-Boelter eq.을 이용하여 계산을 수행하였다. 이중 식 (6)은 튜브 측 압력 강하량에 대한 수식이며 관내 압력 강하량 및 패스에서의 압력 강하량을 포함한 수식이다. 그리고 식 (8) 요구되는 튜브 수를 기준으로 쉘의 내경을 계산하기 위한 수식이다.
⋅heat transfer rate
| (1) |
| (2) |
| (3) |
| (4) |
⋅Heat transfer coefficient(tube side)
| (5) |
⋅Pressure drop(tube side)
| (6) |
| (7) |
⋅Heat transfer coefficient(shell side)
| (8) |
| (9) |
⋅Pressure drop(shell side)
| (10) |
| (11) |
4. 최적화 방법 및 결과
가스쿨러의 최적화는 Table 2에 나타낸 시스템에서의 요구조건에 영향이 가장 큰 설계 인자를 선정한 후 선정된 주요 설계 인자를 최적화하는 과정으로 수행하였다. 주요 설계 인자 선정에서는 부분 요인 실험 계획법을 사용하였다. 주요 설계 인자 최적화에는 반응 표면법(RSM)을 적용하고, 결과 분석에는 상용 통계프로그램인 Minitab(ver. 17)을 이용하였다.
4.1 주요 설계인자 선정
Table 3은 주요설계인자 선정시 해석조건을 나타낸 표이다. 주요 설계 인자의 선정은 시스템 요구조건으로 분리되는 인자 6개 고정된 값을 사용하고, 튜브의 길이(Lt), 외경(Do,t)과 쉘측 튜브와 튜브 사이의 간격(Sn), 튜브 측 패스 수(Nt,p), 쉘측 배플 수(Ns,b)를 설계 인자로 하였다. 그리고 총합 열전달계수(U), 압력강하량(dPt , dPs)과 튜브수(Nt) 및 쉘의 직경(Ds,i)등을 결과값으로 선정하였다. 튜브의 길이(Lt)는 열전달률을 고려하여 4.5 m 를 기준값을 하였다.
튜브의 직경(Dt,o)은 12.7 mm(1/2 inch), 15.87 mm(5/8 inch) 및 19.05 mm(3/4 inch) 직관을 기준으로 선정하고, 설계조건의 온도 및 압력 등을 고려하여 튜브의 재질은 Stainless steel 304로 선정하였다. 이중 튜브와 튜브 사이의 간격(Sn)은 사용되는 튜브 외경의 배수로 1.25×Dt,o, 1.55×Dt,o 및 1.95×Dt,o로 정의하였다.
Fig. 6은 설계 인자 중 총합 열전달계수에 미치는 영향이 유효한 인자를 구분해 주는 파레토 차트(Pareto chart)이다. 파레토 차트는 설계 인자가 결과값에 미치는 영향의 정도가 통계적으로 유효한가를 나타내는 그림이다. 파레토 차트 중간에 표시된 기준선(α값) 보다 각각의 인자의 막대가 큰 경우 통계적으로 유의한 것으로 판단할 수 있다. 막대가 클수록 더욱 영향이 큰 것으로 판단된다. 이를 보면 총합 열전달계수는 튜브와 튜브 사이의 간격이 가장 큰 인자인 것으로 분석된다.
Fig. 7은 튜브측 압력강하량에 대한 파렛토 차트이며, Fig. 8은 쉘측 압력강하량에 대한 파레토 차트이다.
총합 열전달계수는 경우 튜브의 길이를 제외한 네 가지 인자가 유효한 것으로 분석되며, 튜브 측 압력 강하량 또한 총합 열전달계수의 경향과 동일하다. 그리고 쉘 측 압력 강하량을 보면, 쉘측 튜브와 튜브 사이의 간격 및 쉘측 배플 수가 유효한 인자인 것으로 분석된다.
각각의 결과를 종합하면 주요 설계인자는 쉘측 튜브 간의 간격(Sn), 튜브측 패스 수(Nt,p) 및 쉘측 배플 수(Ns,b)로 선정된다. 그리고 이 중에서도 쉘측 튜브 간의 간격이 가장 중요한 설계 인자인 것으로 분석된다. 이는 쉘측 열전달계수에 미치는 영향이 다른 설계 인자에 비하여 크기 때문으로 판단된다. 또한, 튜브의 길이 및 외경(Do,t)은 열전달계수 및 압력 강하량 결과값을 고려하려 4.5 m 및 19.05 mm 로 고정하였다.
Table 4는 표준조건(중간값)과 1단계 결과를 비교한 표이다. 표준조건에서의 결과값을 보면 압력 강하량은 경우 다소 요구조건에 대비 다소 여유가 있는 것으로 나타났으며, 총합 열전달계수는 0.575 kW/m2℃ 이다. 1단계 최적화 후 일부 인자들은 고정값으로 변경하고, 검토한 결과 총합 열전달계수는 0.897 kW/m2℃ 약 36% 크게 나타난다. 이에 따라 요구되는 튜브의 수도 상당 부분 감소 되는 걸 확인 할 수 있었다.
4.2 주요 설계인자 최적화
주요 설계 인자의 최적화는 튜브의 길이와 외경을 각각 4.5 m 및 19.05 mm 로 고정하고 쉘측 튜브간의 간격, 튜브측 패스 수 및 쉘측 배플 수를 설계인자로 하여 최적화를 수행하였다. 각 인자의 범위는 1차 해석결과를 기초로 하여 최소값 또는 중간값으로 조정하였다.
Table 5에 2단계 최적화를 위한 해석 조건을 나타내었다.
Fig. 9 및 10은 설계인자에 따른 결과 값들의 경향을 나타내는 등고선도(contour plot)이다. Fig. 9는 총합 열전달 계수의 경향을 나타내는 등고선도이며, 1∼1.6 kW/m2℃의 범위를 나타내고 있다. 그리고 쉘측 배플 수에 비하여 튜브의 수에 따라 좀 더 영향이 크며 배플 및 패스 수가 증가함에 따라 증가하는 경향을 나타내고 있다.
Fig. 10은 튜브 측 압력 강하량의 경향을 나타내는 등고선도이다. 해석 조건에서 압력 강하량은 100∼600 kPa의 범위를 나타내고 있으며, 제한조건인 100 kPa을 기준으로 보면 튜브 측 패스는 약 17개 이하로 설정해야 압력 강하량 100 kPa 이내를 만족할 수 있는 것으로 분석된다. 튜브의 패스수가 15개가 넘을 경우 압력 강하량이 100 kPa 이상이 될 것으로 판단된다. Fig. 11은 쉘측 압력 강하량의 경향을 나타내는 등고선도이다. 설계조건 범위에서는 제한조건인 50 kPa 이내를 대부분 만족하는 것으로 분석된다.
Fig. 12는 설계조건에 따른 필요한 튜브 수의 경향을 나타내고 있는 등고선도이며, 튜브의 패스 수 및 쉘의 배플 수가 증가함에 따라 필요한 튜브 수가 감소되는 것을 확인 할 수 있으며, 설계조건에서는 약 1,000∼2,000 의 범위를 나타내고 있다.
일반적으로 열전달계수는 유체의 속도가 증가함 따라 커지는 경향을 보인다. 하지만 유체의 속도가 증가할수록 압력 강하량 또한 증가하게 된다.
따라서 열교환기 설계시 압력 강하량은 최소화하면서 높은 열전달계수를 갖도록 해야 한다.
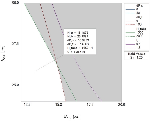
Fig. 13은 총합 열전달계수, 튜브 수, 튜브 및 쉘측 압력 강하량에 대한 제한조건을 설정하고 이를 모두 만족하는 범위를 나타내 주는 중첩 등고선도이다. 그림의 흰색 영역이 제한조건을 모두 만족하는 범위를 나타낸다. 이중 일정 부분을 보면 튜브 측 패스 수는 약 14개, 쉘 측 베플의 수는 26개일 때 전체를 만족할 수 있는 범위에 속한다는 걸 알 수 있다. 이때 통계적인 결과값으로 튜브의 수는 1,653개, 총합 열전달계수는 1.07 kW/m2℃으로 예측되었다.
Table 6은 기준조건, 1 단계 및 2 단계의 해석 결과를 비교한 표이다. 2단계 결과를 보면 튜브측 패스 수가 18개 일 경우 튜브측 압력강하량이 제한조건인 100 kPa을 넘을 수가 있기 때문에 16개 이하에서 결정되어야 할 것으로 판단된다. 그리고 상대적으로 압력 강하량에 여유가 있고 열전달계수가 작은 쉘측 열전달계수 높이기 위하여 쉘 내부에 배플의 수를 늘리는 것이 가장 적절할 대한으로 판단된다. 최종적으로는 약 27개의 배플이 필요할 것으로 판단된다. 튜브간의 간격은 22.86 mm(1.20×Dt,o)로 하였다. 다만, 튜브와 튜브와의 간격의 경우 실제 제작성을 고려한 검토가 필요하다. 다른 조건들은 동일하고, 튜브간의 간격이 24.77 mm(1.30×Dt,o)로 커질 경우 필요한 튜브의 개수는 2,045로 계산된다.
5. 요약 및 결론
본 연구에서는 180℃ 이상 스팀을 생산할 수 있는 고온 히트펌프에 쉘 앤 튜브형 열교환기(가스쿨러) 적용하기 위하여 최적 설계를 수행하였으며 요약하면 다음과 같다.
- 1. 가스쿨러 설계조건에 따른 초임계 조건에서의 냉매 특성을 검토한 결과 압력이 3.5 MPa이 넘는 경우 정압비열의 변화폭이 상당히 감소하는 걸 확인 할 수 있었다. 따라서 본 냉매를 초임예 영역에서 이용시 3.5 MPa넘는 범위에서 사용하는 것이 합리적일 것으로 판단된다.
- 2. 본 연구에서는 쉘 앤 튜브형 가스쿨러에 대한 설계 인자 검토를 수행하였으며, 주요 설계 인자로 쉘측 튜브와 튜브사이의 간격(Sn), 튜브측 패스수(Nt,p) 및 쉘측 배플수(Ns,b)로 선정하였다. 이중 쉘측 튜브와 튜브 사이의 간격이 열교환기 설계시 열전달계수에 가장 큰 영향을 미치는 인자로 판단된다. 가스쿨러 설계시 튜브간 간격이 우선적으로 검토되어야 할 것으로 판단된다. 본 연구에서는 최적화 과정을 통하여 가스쿨러의 설계안을 제안하였다. 이때 튜브수는 1,503개, 총합열 전달계수는 1.347 kW/m2℃, 튜브 측 압력 강하량은 81.59 kPa, 쉘 측 압력 강하량은 30.17 kPa이다.
- 3. Table 6에 나타낸 기준조건, 1단계 및 최종 결과를 보면 총합 열전달계수는 과정을 통해서 약 2배 이상 높아졌다. 압력 강하량 또한 기준조건보다 높아졌지만, 허용범위로 판단된다. 다만, 본 연구에서는 열교환기 이론적 해석을 통한 최적 설계를 수행하였으며, 쉘 앤 튜브 형 열교환기의 제작성과 실제 성능평가를 통한 연구가 필요할 것으로 판단된다.
기호설명
| A : | 면적 [m2] |
| Cs : | 보정계수 [-] |
| cp : | 정압비열 [kJ/kg-℃] |
| D : | 쉘 직경 [m] |
| dP : | 압력강하량 [kPa] |
| dt : | 튜브 직경 [m] |
| F : | 보정계수 [-] |
| f : | 마찰계수 [-] |
| G : | 질량유속 [kg/m2-s] |
| h : | 열전달계수 [kW/m2-℃] |
| k : | 열전도도 [kW/m-℃] |
| L : | 길이 [m] |
| LMTD : | 대수평균온도차 [℃] |
| : | 질량유량 [kg/s] |
| N : | 개수 [ea] |
| P : | 압력 [kPa] |
| ρ : | 밀도 [kg/m3] |
| Pr : | 프란틀 수 [-] |
| Q : | 열전달률 [kW] |
| Re : | 레이놀즈 수 [-] |
| Sn : | 튜브간격 [m] |
| T : | 온도 [℃] |
| U : | 총합열전달계수 [kW/m2-℃] |
| V : | 유속 [m/s] |
하첨자
| b : | 베플(baffle) |
| i : | 내부(inlet) |
| o : | 외부(outlet) |
| s : | 쉘(shell) |
| t : | 배관(tube) |
Acknowledgments
이 논문은 2025년도 정부(산업통상자원부)의 재원으로 한국에너지기술평가원의 지원을 받아 수행된 연구임(RS-2024-00421963, 보일러 대체 산업용 180℃급 고온 스팀히트펌프 기술 개발 및 실증)
References
-
Kaida, T., Hashimoto, K. and Hasegawa, H., 2015, “Exprimental performance evaluation of het pump-based steam supply system,” 9th international conference on compressors and their system, No. 012076.
[https://doi.org/10.1088/1757-899X/90/1/012076]
-
Wang, E., Na, S. I., Lee, G., Baik, Y. J., Lee, Y. S. and Lee, B., 2018, “Experimental Study on Heating Performance Characteristic of 100 kW Heat Pump to Generate 120℃ Steam,” Korean Journal of Air-Conditioning and Refrigeration Engineering, Vol. 30, No. 2, pp. 100∼106.
[https://doi.org/10.6110/KJACR.2018.30.2.100]
-
Kim, J. M. and Kim, S. C., 2023, “Optimization of High-Temperature Heat Pump Cycle for Producing Steam of 160℃,” Korean Journal of Air-Conditioning and Refrigeration Engineering, Vol. 35, No. 8, pp. 371∼380.
[https://doi.org/10.6110/KJACR.2023.35.8.371]
-
Zhang, G., Wang, X., Shi, X., Bi, J., Huang, X. and You, S., 2024, “Performance simulation study of multi-stage compression-throttle water working medium high-temperature heat pump system,” Applied Thermal Engineering, Vol. 247, No. 123030.
[https://doi.org/10.1016/j.applthermaleng.2024.123030]
-
Chen, L. Y., Adi, V. S. K. and Laxmidewi, R., 2022, “Shell and tube heat exchanger flexible design strategy for process operability,” Case Studies in Thermal Engineering, Vol. 37, No. 102163.
[https://doi.org/10.1016/j.csite.2022.102163]
-
Mohammadzadeh, A. M., Jafari, B. and Hosseizadeh, K., 2024, “Comprehensive numerical investigation of the effect of various baffle design and baffle spacing on a shell and tube heat exchanger,” Applied Thermal Engineering, Vol. 249, No. 123305.
[https://doi.org/10.1016/j.applthermaleng.2024.123305]
-
Hoang, H. M. K., Gao, H. L. and Rham, P. M. Q., 2025, “A novel shell-and-tube heat exchanger design with alternative inclined baffles,” Case Studies in Thermal Engineering, Vol. 65, No. 105542.
[https://doi.org/10.1016/j.csite.2024.105542]
-
Wang, S., Wan, L., Che, G., Du, T., Wang, H. and Diao, X., 2025, “Experimental study and motion parameter optimization of the shell side of a gas-phase rotating shell-and-tube heat exchanger based on an improved NSGA-II algorithm,” International Journal of Heat and Fluid Flow, Vol. 116, No. 109952.
[https://doi.org/10.1016/j.ijheatfluidflow.2025.109952]
- Ragadhita, R. and Nandiyanto, G. D., 2024, “How to calculate and design shell and tube type heat exchanger with a single heat trasfer,” ASEAN Journal for science and engineering in materials, Vol. 3, No. 1, pp. 21∼42.
-
Lim, T. W., Choi, Y. S. and Lim, W. T., 2019, “Charateristics of shell side presure drop in shell and tube heat exchanger,” JFMSE Journal, Vol. 31, No. 3, pp. 839∼845.
[https://doi.org/10.13000/JFMSE.2019.6.31.3.839]
-
Kim, J. M. and Kim, S. C., 2024, An Experimental Study on the Heat Transfer Characteristics of R1336mzz(Z) Througha Horizontal Single Tube in a Supercritical Region, Korean Journal of Air-Conditioning and Refrigeration Engineering, Vol. 36, No. 5, pp. 233-241.
[https://doi.org/10.6110/KJACR.2024.36.5.233]
- Lee, Y. H., Kim, S. Y. and Park, M. K., 2001, An Experimental Study of Shell and Tube Heat Exchanger Performance with Baffle Spacing, Trans. Korean Soc. Mech. Eng. B, Vol. 25, No. 12, pp. 1748-2001.













