
Investigation of Suction Performance on a Mixed Flow Pump with Semi-Open Casing
Abstract
Mixed flow pumps exhibit characteristics of both centrifugal and axial flow pumps, with meridional geometry and blade shape playing a crucial role in their hydraulic performance. Tip clearance gap thickness also significantly impacts pump efficiency, cavitation behavior, and pressure fluctuations. This study investigates the influence of tip clearance gap size on the performance and cavitation characteristics of a mixed flow pump with a semi-open casing using Computational Fluid Dynamics (CFD). Cavitation analysis, conducted using the Rayleigh-Plesset model, demonstrates a strong correlation between tip clearance gap thickness and cavitation inception. The results indicate that increasing clearance gap thickness leads to efficiency and head reduction, intensifies tip leakage vortices, and increases cavitation susceptibility. Internal flow analysis further reveals that low-pressure regions expand with increasing clearance gap thickness, causing cavitation within the impeller flow passage.
Keywords:
Mixed Flow Pump, Semi-open Casing, Suction Performance, Cavitation, Vapor Volume Fraction키워드:
사류펌프, 세미오픈 케이싱, 흡입성능, 캐비테이션, 증기체적분율1. Introduction
Mixed flow pumps are widely used in various industrial applications, including agricultural irrigation, flood control, municipal water supply systems, and thermal plant cooling. These pumps combine centrifugal and axial flow characteristics, allowing for adaptable designs that optimize efficiency. Research has focused on optimizing impeller geometry, refining tip clearance gaps, and utilizing advanced materials to enhance durability. Wang et al(1). employed the inverse design method to improve impeller blade profiles, enhancing energy efficiency through Computational Fluid Dynamics (CFD). Lu et al(2). refined impeller meridional and blade shape optimization using a modified inverse design technique. Matsunuma(3) explored the impact of tip clearance gaps on hydraulic losses and turbulence within turbine cascades. Bermudez et al(4). conducted hydraulic model studies on intake-outlet designs for pumped-storage hydropower plants, identifying key performance improvements applied to mixed flow pumps. The tip clearance gap is the space between the rotating impeller and the stationary casing wall that affects pump efficiency. It influences hydraulic losses, rotating stall behavior, and cavitation formation. Excessive gaps induce tip leakage vortices (TLV), leading to flow instability and reduced performance. A distinct double-hump pattern is identified in the TLV formation region, evolving through inception, growth, merging, and propagation(5). The larger clearance gaps intensify flow separation and cavitation risk, while smaller gaps improve efficiency but shift the stall point to higher flow rates. Guo et al(6). analyzed flow-induced vibration in pump-turbine runners, emphasizing how tip clearance variations contribute to energy dissipation mechanisms and vortex instability. Proper gap management minimizes leakage-induced turbulence and optimizes impeller blade geometry, stabilizing flow fields. Liu et al(7). demonstrated that increased clearance leads to a drop in head and efficiency due to intensified leakage vortex formation. Shrestha(8) further examined the effects of tip clearance gap thickness on pump performance, revealing that larger gaps result in significant pressure drops at the leading edge of the shroud region, increasing reverse flow strength and deteriorating internal flow stability.
Cavitation is a significant concern in mixed flow pumps, occurring when the pressure drops below the vapor pressure, resulting in vapor bubble formation near impeller blades. As these bubbles collapse in higher-pressure regions, they generate shock waves that can cause erosion and structural degradation. Mixed flow pumps are prone to cavitation due to low inlet pressure, excessive tip clearance gaps, and improper blade loading(1). The effects include reduced efficiency, increased vibrations, and unstable pressure fluctuations(3). Tip clearance gap thickness affects pressure fluctuations and leakage flow interactions, and increased clearance leads to stronger tip leakage vortices and contributes to cavitation. Li et al.(9) examined energy dissipation mechanisms related to tip-leakage cavitation in mixed flow pump blades, providing insights into minimizing cavitation-induced performance degradation. Yang et al.(10) investigated cavitation characteristics in mixed flow pump impellers under different flow rates, identifying optimal operating conditions to suppress bubble formation.
Additionally, Zheng et al.(11) proposed Controllable Velocity Moment (CVM) techniques for cavitation suppression and energy efficiency improvements, demonstrating their effectiveness in stabilizing hydraulic performance. Cavitation modeling is crucial for predicting and mitigating these adverse effects. The numerical analysis incorporating the Shear Stress Transport (SST) turbulence model and the Rayleigh Plesset cavitation model analyzes cavitation bubble evolution and pressure pulsation characteristics under varying flow conditions. The SAS-SST turbulence model enhances transient analysis by dynamically adjusting turbulence resolution, providing more accurate predictions of flow instabilities, pressure fluctuations, and cavitation onset. Jiao et al.(12) examined energy loss and pressure fluctuation characteristics in coastal two-way channel pumping stations under ultra-low head conditions, offering insights into cavitation-related efficiency losses. Chen et al.(13) conducted numerical analyses of cavitation flow characteristics in mixed flow pumps using advanced turbulence models, demonstrating the impact of suction pressure variations on cavitation inception. Li et al.(14) examined rotor-stator interaction and shaft vibration in the mixed flow pump, identifying key design modifications to enhance operational stability.
While many studies examined enclosed mixed flow pumps, tip clearance gaps, and cavitation remain key performance factors. This study aims to develop a uniquely shaped mixed flow pump tailored for a specific purpose, with a semi-open casing designed to achieve a reasonable head at high flow rates. By systematically evaluating the impact of various tip clearance thicknesses, this research seeks to elaborate on the influence of tip clearance gap thicknesses on the suction performance of mixed flow pumps with semi-open casing.
2. Design and Numerical Analysis
2.1 Design and Modeling
The semi-open impeller features a semi-open casing developed by prior theoretical principles(15). The mixed flow pump is designed based on a specific speed, which is calculated using Eq. (1).
| (1) |
where 𝑁𝑠 is the specific speed of the pump, 𝑁 is the rotational speed (min-1), 𝐻 is the effective head (m), 𝑄 is the flow rate (m3/s).
Table 1 provides the detailed specifications of the mixed flow pump. Fig. 1 shows a 3D model of a mixed flow pump with a semi-open impeller and a semi-open casing. Fig. 2 indicates the tip clearance gap thickness in the mixed flow pump. This study reduces the impeller radius to increase the tip clearance gap. The three tip clearance gaps are used for the comparison.
2.2 Numerical Methodology
ANSYS 2024R1 is employed for steady and transient CFD simulations of a mixed flow pump with a semi-open casing. RANS equation solved the incompressible flow in the mixed flow pump with a semi-open casing, and the solution accuracy is highly dependent on grid resolution. Fig. 3 depicts the structured hexahedral mesh developed using ANSYS ICEM 2024R1, ensuring precise numerical modeling. A refined mesh maintains a 𝑦+ value below 50 with boundary layer treatment.
Numerical grids for mixed flow pump with semi-open casing a) full domain, b) isometric and c) cross-section views
SST turbulence model, integrating 𝜅-𝜔 for near-wall regions and 𝜅-𝜀 for free-stream areas, improves steady-state flow predictions. The mesh dependency test, illustrated in Fig. 4, identifies 8.6 million nodes for achieving numerical stability at 𝑄/𝑄𝐷=1.0. The refined mesh structure effectively captures internal flow dynamics, minimizing numerical errors while maintaining computation efficiency.
The boundary conditions include static pressure at the inlet and mass flow rate at the outlet, with frozen rotor modeling for steady-state simulations. Cavitation behavior is evaluated using the Rayleigh Plesset cavitation model, which solves mass transfer equations between vapor and liquid phases, describes bubble dynamics, and improves accuracy in cavitation onset predictions(16,17).
Table 2 outlines the detailed boundary conditions, while the pump performance curves are generated by adjusting the mass flow rate at the outlet.
3. Results and Discussion
3.1 Performance curves for a mixed flow pump with various clearance gaps
Mixed flow pumps with fully enclosed casings tend to have higher hydraulic efficiency due to minimal internal fluid losses and turbulence. Semi-open casings allow for more fluid interaction with the impeller, which can lead to lower efficiency due to increased recirculation and energy dissipation. Fig. 5 shows the performance curves of a mixed flow pump with a semi-open casing. The best efficiency point matches with a design point, which suggests the acceptance of the design methodology. The performance characteristics of a mixed flow pump with varying tip clearance gaps (2 mm, 3 mm, and 4 mm) reveal the critical influence of clearance size on efficiency and head development. The 2 mm clearance exhibits the highest efficiency of 75%, followed by the 3 mm and 4 mm gaps with 73% and 71%, respectively, highlighting the adverse effects of the increased tip clearance gap on the hydraulic performance.
Simultaneously, the head decreases as the flow rate increases, with larger tip gaps causing significant head losses due to intensified leakage vortices and energy dissipation. At 𝑄/𝑄𝐷=1.0, the impeller design with a clearance gap of 2 mm and 3 mm achieved the design head of 45 m or above. The clearance gap of 4 mm failed to achieve the design head of 45 m at 𝑄/𝑄𝐷=1.0. Hence, the proper selection of the tip clearance gap plays a significant role in the design of a mixed flow pump with a semi-open casing.
3.2 Suction performance of mixed flow pump with semi-open casing
The cavitation number is a fundamental parameter used to evaluate the suction performance of mixed flow pumps and determine the critical cavitation point. Eq. (2) is applied to calculate the cavitation number, providing a quantitative measure of cavitation susceptibility. The various clearance gaps and flow rates are examined to analyze the suction performance of a mixed flow pump with a semi-open casing.
| (2) |
where, 𝜎 is the cavitation number, 𝜌 is the density of water (kg/m3), 𝑝𝑖𝑛 and 𝑝𝑣𝑎𝑝 are the inlet pressure and the vapor pressure, respectively.
Fig. 6 and Fig. 7 illustrate the suction performance of the mixed flow pump with a semi-open casing at 𝑄/𝑄𝐷= 0.4 and 𝑄/𝑄𝐷=1.0, respectively. At 𝑄/𝑄𝐷=0.4, the pump exhibits relatively high head and low efficiency, with critical cavitation numbers of 0.61, 0.64, and 0.66 for clearance gaps of 2 mm, 3 mm, and 4 mm, respectively. The variation in critical cavitation number across different clearance gaps is minimal, suggesting a relatively insignificant effect of clearance gap size on suction performance at this operating condition.
At 𝑄/𝑄𝐷=1.0, the clearance gap influence on suction performance becomes significantly pronounced. The critical cavitation numbers for 2 mm, 3 mm, and 4 mm clearance gaps increase to 1.51, 1.99, and 2.02, respectively, indicating a substantial rise in cavitation susceptibility with increasing gap size. Notably, the critical cavitation number exhibits a sharp increase when the clearance gap expands from 2 mm to 3 mm, reinforcing the impact of tip leakage vortices on cavitation inception and overall hydraulic efficiency.
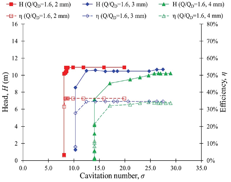
Fig. 8 presents the suction performance of the mixed flow pump at 𝑄/𝑄𝐷=1.6, demonstrating a significant impact of the tip clearance gap on cavitation behavior as the flow rate increases. The critical cavitation numbers for clearance gaps of 2 mm, 3 mm, and 4 mm are 8.05, 10.30, and 14.03, respectively, indicating a substantial rise in cavitation susceptibility with increased clearance gap. The results conclude that a larger clearance gap thickness intensifies tip leakage vortices and cavitation inception.
Fig. 9 compares the critical cavitation number for various flow conditions with the tip clearance gap thickness. The suction performance is highly influenced by the tip clearance gap when 𝑄/𝑄𝐷≥1.0, whereas at 𝑄/𝑄𝐷<1.0, its effect remains comparatively minor. The findings emphasize that cavitation risk increases significantly as tip clearance expands in high-flow conditions (𝑄/𝑄𝐷≥1.0), reinforcing the necessity of optimizing clearance gap thickness to minimize flow instabilities and maintain pump efficiency.
3.3 Flow characteristic of mixed flow pump with cavitation
The study of cavitation in pumps with tip clearance gaps is complex due to the generation of tip leakage flow in the region between the pressure and suction sides of the impeller blade(18). This leakage flow interacts with the main passage flow, inducing a tip leakage vortex (TLV)(19). Low pressure at the TLV core deteriorates pump performance and leads to cavitation(20,21).
The internal flow characteristics of the mixed flow pumps reveal the influence of tip clearance gaps on suction performance. Fig. 10 shows velocity vectors in the impeller cross-section with varying leakage gaps at 𝑄/𝑄𝐷=1.0. The vectors indicate minimal leakage flow in passages with a 2 mm clearance gap. The leakage flow magnitude increased with an increase in the clearance gap thickness. Fig. 11 presents a magnified view of the velocity vectors at the clearance gap, clearly illustrating the leakage flow.
Velocity vectors in impeller of mixed flow pump with clearance gap a) 2 mm b) 3 mm and c) 4 mm at 𝜎=2.5 and 𝑄/𝑄𝐷=1.0
Magnify view of Fig. 10 velocity vectors in tip clearance gap of a) 2 mm b) 3 mm and c) 4 mm at 𝜎=2.5 and 𝑄/𝑄𝐷=1.0
The leakage velocity gradually increases as the gap thickness expands. The velocity vectors indicate that the leakage flow direction is reversed compared to the main passage flow. The maximum leakage flow velocities are 20 m/s, 25 m/s, and 30 m/s for clearance gaps of 2 mm, 3 mm, and 4 mm, respectively. It suggests that increasing the clearance gap thickness by 1 mm significantly raises the leakage flow velocity.
Figs. 12 and 13 illustrate pressure contours in the impeller flow passage, comparing various tip clearance gaps at 𝑄/𝑄𝐷=1.0 and 1.4, respectively. Fig. 11 shows that the pressure in the impeller flow passage with a 4 mm clearance gap is lower than that with a 2 mm gap. At 𝑄/𝑄𝐷=1.0, the outlet pressure decreases from 600 kPa to 580 kPa as the clearance gap increases from 2 mm to 4 mm. At 𝑄/𝑄𝐷=1.4, a low-pressure region appears in the impeller flow passage with a 4 mm clearance gap, where the outlet pressure drops from 410 kPa to 360 kPa.
Pressure contours in the impeller passage with clearance gap a) 2 mm and b) 4 mm at 𝜎=2.5 and 𝑄/𝑄𝐷=1.0
Pressure contours in the impeller passage with clearance gap a) 2 mm and b) 4 mm at 𝜎=20 and 𝑄/𝑄𝐷=1.4
Figs. 12 and 13 highlight that the low-pressure region at the tip clearance gap becomes more pronounced as gap thickness increases. Fig. 14 indicates a 3D pressure vortex in the impeller passage. The strength of the pressure vortex increases with an increase in the clearance gap thickness. The 2D pressure contours and 3D pressure vortex confirm that the low-pressure zone at the tip clearance corresponds to the core of the tip leakage vortex (TLV).
3D pressure vortex in the impeller passage with clearance gap a) 2 mm and b) 4 mm at 𝑄/𝑄𝐷=1.4 and t=0.75 sec
The results indicate that increasing the tip clearance gap thickness further reduces pressure levels at the gap region, intensifying cavitation effects in a mixed flow pump with semi-open casing.
Fig. 15 illustrates the vapor volume fraction distribution on the impeller blade surface at 𝑄/𝑄𝐷=1.0 and 𝜎=2.1, where volume fractions of 0 and 1 indicate water and water vapor, respectively. The analysis reveals substantial bubble formation near the leading edge, suggesting cavitation primarily initiates at the tip clearance gap due to flow separation and low-pressure regions. Fig. 16 presents the vapor volume fraction distribution at 𝑄/𝑄𝐷=1.0 and 𝜎=2.1. Lines 1 and 2 are located at the lower half of the mixed flow pump. At lines 1 and 2, the vapor volume fraction concentration exceeds 80% at the impeller blade leading edge with clearance gaps of 3 mm and 4 mm, indicating a high possibility of cavitation. In line 2, the vapor volume fraction remains above 70% throughout the impeller blade passage for clearance gaps of 3 mm and 4 mm, respectively. In conclusion, increasing the tip clearance gap thickness significantly heightens cavitation susceptibility in mixed flow pumps with semi-open casings.
Vapor volume fraction in impeller of mixed flow pump with clearance gap a) 2 mm b) 3 mm and c) 4 mm at 𝜎=2.1 and 𝑄/𝑄𝐷=1.0
4. Conclusion
This study highlights the significant impact of tip clearance gap variations on the hydraulic efficiency and cavitation performance of mixed flow pumps with semi-open casings. CFD analysis confirms that efficiency and head are influenced by clearance gap thickness. At higher flow rates, pump performance deteriorates significantly as gap thickness increases, primarily due to intensified tip leakage vortices and associated energy losses.
A detailed suction performance analysis reveals that cavitation susceptibility rises sharply at 𝑄/𝑄𝐷 ≥ 1.0, with the critical cavitation number increasing as clearance gap thickness expands. Thicker clearance gaps induce localized flow instabilities, enhance vapor formation, and disrupt smooth energy conversion in the pump passage. Pressure contours indicate that low-pressure regions at the tip clearance gap intensify cavitation effects and reduce operational stability. Internal flow analysis confirms that the vapor volume fraction is primarily concentrated in the tip clearance region, with the cavitation inception originating in this zone. Vapor accumulation exceeds 80% at the impeller blade leading edge as clearance gap thickness increases, reinforcing the correlation between gap size, cavitation formation, and performance deterioration.
In conclusion, optimizing tip clearance gap thickness is essential for ensuring efficient hydraulic performance, minimizing energy losses, and suppressing cavitation effects in mixed flow pumps. Future studies should explore advanced clearance optimization techniques to enhance efficiency and extend the pump's operational life.
Acknowledgments
이 논문은 2023년 정부(방위사업청)의 재원으로 국방기술진흥연구소의 지원을 받아 수행된 연구임(협약번호 : KRITCT-23-002, 고압 압축공기를 이용한 터보펌프 설계 기술)
References
-
Wang, M., Li, Y., Yuan, J., and Osman, F. K., 2021, “Matching optimization of a mixed flow pump impeller and diffuser based on the inverse design method,” Processes, Vol. 9, No. 2, p. 260.
[https://doi.org/10.3390/pr9020260]
-
Lu, Y. M., Wang, X. F., Wang, W. and Zhou, F. M., 2018, “Application of the modified inverse design method in the optimization of the runner blade of a mixed-flow pump,” Chinese Journal of Mechanical Engineering, Vol. 31, No. 1, Article No. 105.
[https://doi.org/10.1186/s10033-018-0302-x]
-
Matsunuma, T., 2005. Effects of Reynolds number and free-stream turbulence on turbine tip clearance flow. In Turbo Expo: Power for Land, Sea, and Air, Vol. 47306, pp. 389~401.
[https://doi.org/10.1115/GT2005-68009]
-
Bermúdez, M., Cea, L., Puertas, J., Conde, A., Martín, A. and Baztán, J., 2017, “Hydraulic model study of the intake-outlet of a pumped-storage hydropower plant,” Engineering applications of computational fluid mechanics, Vol. 11, No. 1, pp. 483~495.
[https://doi.org/10.1080/19942060.2017.1314869]
-
Kim, Y. I., Kim, S., Yang, H. M., Lee, K. Y., and Choi, Y. S, 2019, “Analysis of internal flow and cavitation characteristics in mixed flow pumps with various blade thickness,” Journal of Mechanical Science and Technology, Vol. 33, No. 5, pp. 3333~3344.
[https://doi.org/10.1007/s12206-019-0628-z]
-
Guo, J., Zhou, D., Chen, H. and Wang, H., 2023, “Flow-induced vibration analysis in a pump-turbine runner under transient operating conditions,” Engineering Applications of Computational Fluid Mechanics, Vol. 17, No. 1, Article No. 2266662.
[https://doi.org/10.1080/19942060.2023.2266662]
-
Liu, Y., Tan, L., Hao, Y. and Xu, Y., 2017, “Energy performance and flow patterns of a mixed-flow pump with different tip clearance sizes,” Energies, Vol. 10, No. 2, Article No. 191.
[https://doi.org/10.3390/en10020191]
-
Shrestha, U., and Choi, Y-D., 2024, “Influence of Tip Clearance Gap Thickness on the Performance and Internal Flow of Mixed Flow Pump with Semi-open Casing,” The KSFM Journal of Fluid Machinery, Vol. 27, pp. 5~13.
[https://doi.org/10.5293/kfma.2024.27.3.005]
-
Li, W., Li, H., Liu, M., Ji, L., Agarwal, R. K. and Jin, S., 2024, “Energy dissipation mechanism of tip-leakage cavitation in mixed-flow pump blades,” Physics of Fluids, Vol. 36, No. 1, Article No. 015115.
[https://doi.org/10.1063/5.0183540]
-
Yang, X., Zhu, J., Zhang, Y., Chen, B., Tang, Y., Jiang, R., Kan, K., Ye, C. and Zheng, Y., 2024, “Study on the Cavitation Performance in the Impeller Region of a Mixed-Flow Pump Under Different Flow Rates,” Water, Vol. 16, No. 22, Article No. 3195.
[https://doi.org/10.3390/w16223195]
-
Zheng, Y. H., Li, Y. J., Zhang, F. and Yuan, S. Q., 2025, “Cavitation suppression and energy performance improvement for a mixed flow pump through controllable velocity moment,” Journal of Hydrodynamics, pp. 1~16.
[https://doi.org/10.1007/s42241-025-0001-x]
-
Jiao, W., Chen, H., Cheng, L., Zhang, B. and Gu, Y., 2023, “Energy loss and pressure fluctuation characteristics of coastal two-way channel pumping stations under the ultra-low head condition,” Energy, Vol. 278, Article No. 127953
[https://doi.org/10.1016/j.energy.2023.127953]
-
Chen, T., Li, S. R., Li, W. Z., Liu, Y. L., Wu, D. Z. and Wang, L. Q., 2013, “Numerical simulation of the cavitation characteristics of a mixed-flow pump,” In IOP Conference Series: Materials Science and Engineering, Vol. 52, No. 6, Article No. 062020.
[https://doi.org/10.1088/1757-899X/52/6/062020]
-
Li, W., Ji, L., Shi, W., Yang, Y., Awais, M., Wang, Y. and Xu, X., 2020, “Correlation research of rotor–stator interaction and shafting vibration in a mixed-flow pump,” Journal of Low Frequency Noise, Vibration and Active Control, Vol. 39, No. 1, pp. 72~83.
[https://doi.org/10.1177/1461348419836530]
- A. J. Stepanoff, 1957, Centrifugal and axial flow pumps: theory, design, and application, John Wiley & Sons, Inc., New York.
- Zwart, P. J., Gerber, A. G. and Belamri, T., 2004, “A two-phase flow model for predicting cavitation dynamics,” In Fifth International Conference on Multiphase Flow, Yokohama, Japan.
-
Brennen, C. E., 2014, “Cavitation and bubble dynamics,” Cambridge university press.
[https://doi.org/10.1017/CBO9781107338760]
-
Gong, B., Zhang, Z., Feng, C., Yin, J., Li, N. and Wang, D., 2023, “Experimental investigation of characteristics of tip leakage vortex cavitation-induced vibration of a pump,” Annals of Nuclear Energy, Vol. 192, Article No. 109935.
[https://doi.org/10.1016/j.anucene.2023.109935]
-
Han, Y. and Tan, L., 2023, “Experimental investigation on spatial-temporal evolution of tip leakage cavitation in a mixed flow pump with tip clearance,” International Journal of Multiphase Flow, Vol. 164, Article No. 104445.
[https://doi.org/10.1016/j.ijmultiphaseflow.2023.104445]
-
Liu, Y., Tan, L., Hao, Y. and Xu, Y., 2017, “Energy performance and flow patterns of a mixed-flow pump with different tip clearance sizes,” Energies, Vol. 10, No. 2, Article No. 191.
[https://doi.org/10.3390/en10020191]
-
Zhang, D., Shi, W., Pan, D. and Dubuisson, M., 2015, “Numerical and experimental investigation of tip leakage vortex cavitation patterns and mechanisms in an axial flow pump,” Journal of Fluids Engineering, Vol. 137, No. 12, Article No. 121103.
[https://doi.org/10.1115/1.4030914]









