
팁 간극 변화가 덕트형 프로펠러의 공력 소음 및 공력 성능에 미치는 영향
Abstract
In this study, the effects of tip clearance on the aerodynamic and aeroacoustic performance of a ducted propeller are systematically investigated through numerical simulations and experimental validation. Steady-state simulations using the moving reference frame (MRF) method and transient simulations employing the sliding mesh method are conducted to analyze both aerodynamic performance and aeroacoustic noise. The velocity contour analysis shows that reducing the tip clearance effectively suppresses tip leakage flow, leading to increased axial core velocity and improved thrust generation. However, transient simulations and Ffowcs Williams-Hawkings (FW-H) based acoustic analyses indicate that smaller tip clearance intensifies blade-vortex interactions (BVI), resulting in elevated low-frequency impulsive noise levels, particularly in forward receiver positions. Experimental measurements of thrust and noise spectra are performed to validate the simulation results, showing good agreement in overall trends. The findings highlight a distinct trade-off between aerodynamic efficiency and noise reduction depending on tip clearance variation. Therefore, careful optimization of tip clearance is essential to balance aerodynamic performance and noise mitigation for practical ducted propeller applications, especially in UAV operations where noise is a critical factor.
Keywords:
Ducted propeller, Tip clearance, Aeroacoustic performance, UAV, Computational Fluid Dynamics키워드:
덕트형 프로펠러, 팁 간극, 공력 소음, 무인 항공기, 전산유체역학1. 서 론
최근 급변하는 세계정세와 모빌리티의 기술 발전으로 인해 드론으로 불리는 무인 항공기(Unmanned Aerial Vehicle, UAV)와 도심항공교통(Urban Air Mobility, UAM)이 주목 받고 있다. 기존에는 UAV와 UAM이 농업, 의약품 배송 등 전문적인 영역에서 주로 사용되어 왔지만, 최근에는 다양한 민간 산업 및 군사적 분야에서 널리 활용되고 있다. 활용 분야가 증가함에 따라 드론 시장의 규모도 확장되고 있으며, Morgan Stanley社의 연구에 따르면 UAM 시장규모가 2040년에는 1조 5000억불에 달할 것으로 예상하고 있다(1). 이는 기존 항공기 제조 산업보다 거대한 규모이며, 교통 패러다임의 완전한 변화를 의미한다. 다만 UAM의 잠재력은 충분하지만, 성공적인 도입을 위해서는 사회적 수용이 필수적이다. 인구 밀집도가 높은 도심지에서의 근접 비행과 잦은 이착륙이라는 운용 특성을 고려했을 때 안전문제와 소음문제는 주요 우려사항으로 꼽힌다(2). 세계보건기구(WHO)는 유럽에서 드론 소음이 환경오염 다음으로 건강을 악화시키는 환경적 원인이라 밝히며, 도심 내 드론 소음의 심각성에 대해 경고하였다(3). 드론의 소음 문제는 민간 분야뿐만 아니라 군용 목적 UAV에서도 매우 중요한 전략적 요소이다. 전술급 무인기는 작전 반경이 크지 않고 비교적 낮은 고도에서 운용되기 때문에 탐지를 회피하기 위해서는 공력 소음 저감 기술 확보는 필수적이다(4).
프로펠러에서 발생하는 소음원은 크게 기계적/구조적 진동에 의한 소음, 프로펠러 회전에 의한 공력소음, 모터에서 발생하는 소음으로 구분할 수 있다(5). 이 중 공력소음이 가장 지배적인 소음원이며, 효과적인 저소음 기술을 개발하기 위해서는 프로펠러의 공력 소음을 예측하고 소음 특성을 분석하는 것이 중요하다. 공력 소음은 프로펠러 팁 부근에서 발생하는 와류에 의해 대부분 발생하며, 이를 저감하기 위해 다양한 연구가 진행되어왔다(6).
생체모방 공학을 이용하여 프로펠러 전연과 후연에 올빼미의 깃 구조를 모사한 톱니 모양의 홈이나 tubercle을 적용하여 와류 강도를 줄이고자 하는 연구(7-9)와 단풍나무 씨앗의 날개 형태를 모방한 저소음 익형과 평면형상에 대한 연구도 수행되었다(10-13). 프로펠러 끝단에 sweep각을 변수로 소음을 저감하려는 연구도 수행되었다(14,15). 하지만 프로펠러의 형상 변경을 통한 공력 소음 저감 방식은 블레이드 자체의 구조적 복잡성 증가와 제조 난이도가 발생하는 문제점이 있으며, 기계적 강도 저하 등의 문제점을 야기할 수 있다. 반면 덕트형 프로펠러는 이러한 단점을 보완하면서 프로펠러를 감싸는 구조로 이루어져 있어 물리적으로 소음을 저감할 수 있는 장점이 있으며, 최근 이를 활용한 다양한 연구가 수행되고 있다. Malgoezar 등(16)은 UAV용 덕트 프로펠러의 유동 및 소음 방사 특성을 실험적으로 규명하였으며, 덕트 형상이 후류의 비정상 와류 구조와 음향 분포에 직접적인 영향을 미친다고 분석하였다. Simon 등(17)은 호버링 조건에서 덕트 내부 유동의 불안정성과 주요 소음원의 주파수 특성을 정량적으로 분석하여, 덕트 내부 유동장이 전체 소음 특성에 중요한 영향을 미침을 확인하였다. Cantos 등(18)은 덕트 입구 형상과 팁 간극 크기 등의 기하학적 인자가 공력 성능과 공력 소음에 영향을 미치며, 이들의 상충 관계를 확인하였다. 이러한 연구들은 덕트 형상이 공력소음 특성에 중요한 역할을 한다는 점을 보여주지만, 팁 간극 변화에 따른 덕트형 프로펠러의 공력 성능 및 공력 소음을 정량적으로 비교 분석한 연구는 상대적으로 부족하다.
따라서 본 연구에서는 덕트형 프로펠러의 팁 간극 크기를 주요 설계 변수로 설정하여, 공력 성능 및 공력 소음 특성을 수치해석과 실험을 통해 체계적으로 분석하였다.
2. 수치해석
프로펠러의 수치해석을 위해 다음과 같은 가정을 설정하였다.
- 1. 공력 성능은 정상 유동에 의해 지배되며, 비정상 유동 효과는 무시된다.
- 2. 프로펠러와 덕트는 강체로 가정되며, 공력 하중 또는 원심력에 의한 구조적 변형은 발생하지 않는다.
- 3. 최대 팁 마하수는 0.3 미만으로 압축성 영향은 거의 없다.
위 가정에 따라 수치 해석을 수행하였으며, ANSYS Fluent 2023 R2를 사용하였다. 본 연구는 외부 유입류가 없는 호버(hover) 조건을 가정하였기 때문에, 유동장은 시간에 따른 변화가 크지 않은 준정상 상태로 간주할 수 있다. 이에 공력 성능 해석은 정상상태, 비압축성 유동 해석으로 수행하였으며, 공력 소음 해석은 비정상 압력 섭동을 포착하기 위해 과도해석(transient analysis)을 수행하였다. 과도해석을 수행하기 전 수치 해석의 수렴성과 안정성을 확보하기 위해 정상 상태의 해석 결과를 초기 유동장으로 사용하였다.
2.1 해석 모델
본 연구에서는 DJI社 상용모델인 Phantom 시리즈에 사용되는 9450 프로펠러를 선정하였다. 해당 모델은 실제 소형 UAV 시스템에 널리 적용되고 있어 수치해석 결과의 신뢰성 확보 및 실험적 비교 검증이 용이하다는 장점이 있다.
또한, 본 연구의 목적은 덕트-프로펠러 간극 변화가 공력 성능과 소음 특성에 미치는 영향을 규명하는 것이기 때문에 검증된 상용 프로펠러 모델을 선정하게 되었다. 해당 모델은 2엽 프로펠러로 구성되어 있으며, 지름은 240 mm이다. 덕트의 총 길이는 160 mm로 설정하였으며, 덕트 내벽과 프로펠러 사이의 거리인 팁 간극은 3 mm로 설정하였다. 수치해석의 유동장은 회전 영역과 비회전 영역으로 나누어 생성하였으며, 두 영역 모두 원통 모양으로 설정하였다. 비회전 영역인 외부 유동장은 지름 1,680 mm, 높이 3,720 mm로 구성하였다. 프로펠러는 외부 유동장의 2/3 지점의 높이에 위치하고 있다. 수치해석 모델 구성은 Fig. 1에 나타내었다.
2.2 지배 방정식
운동량 보존을 위한 Newton의 제 2법칙을 작동 유체에 적용한 것으로, 제어체적에 적용하면 다음과 같은 형태로 표현된다.
| (1) |
이를 미분형으로 정리하면 다음의 Navier-Stokes 방정식을 얻는다.
| (2) |
여기서 p는 압력, τ는 점성 응력 텐서, ρg는 중력에 의한 체적력이다. 점성 응력 텐서는 Newtonian 유체 가정 하에서 다음과 같이 정의된다.
| (3) |
여기서 μ는 점성 계수, 상첨자 T는 전치 행렬을 나타내며, 비압축성 유동의 경우 마지막 항은 소거할 수 있다.
정상 상태 해석에서는 회전체의 효과를 효율적으로 모사하기 위해 이동 회전 좌표계(MRF) 기법을 사용하였다. 이는 고정된 외부 영역과 회전하는 내부 영역을 분리하고, 회전 좌표계에서의 추가 가속도 항을 포함한 운동량 방정식을 다음과 같이 수정한다.
| (4) |
여기서 은 회전 좌표계에서의 상대 속도 벡터이고, ω는 각속도, r은 위치벡터이다. 항은 코리올리 가속도(Coriolis acceleration)항이고, 은 구심 가속도 항을 나타낸다. 이후 비정상 상태 해석에서는 실제 시간에 따른 회전을 직접 해석하기 위해 sliding mesh method(SMM) 기법을 사용하였다. SMM 기법은 격자가 실제로 회전하며 시간에 따른 압력 변화를 직접 계산하므로, 음향 예측에 필요한 비정상 유동장을 모사할 수 있다는 장점이 있다.
정상 해석에서는 RANS 기반의 SST k-ω 모델을 적용하였다. 이 모델의 경우 벽면 근처에서는 k-ω의 높은 정확도를 유지하면서, 자유 유동 영역에서는 k-ε 모델의 안정성을 반영하여 복잡한 경계층 및 박리 유동에서 신뢰성 있는 결과가 도출된다는 장점이 있다. SST k-ω 모델은 난류 운동 에너지 k와 난류 비등방성 비율 ω에 대한 2개의 수송 방정식으로 구성되며, 다음과 같이 표현된다:
| (5) |
| (6) |
2.3 격자계 생성
본 연구에서는 고속으로 회전하는 프로펠러에 대해 형상 복잡도와 유동 특성을 고려하여 격자를 생성하였다. ANSYS Fluent meshing을 사용하여 격자를 생성하였으며, 적절한 격자 품질 확보와 수치 해석 결과의 수렴성 도출을 위해 격자 의존성 테스트를 수행하였다. 격자 수 2.5 × 106~9.0 × 106 로 총 8개의 모델에서 축 방향 추력 및 토크 계수를 통해 grid dependency test(GDT)를 수행하였으며, Fig. 3에 나타내었다. 벽면 근처 유동의 격자 품질을 판단하는 지표인 Y+는 1 이하를 유지하도록 설정하였으며, 이를 위해 프로펠러 벽면의 격자 첫 층의 높이는 8 × 10-6로 설정하였다. 프로펠러 전연(leading edge)에 Y+가 높게 관측되어, 전연 근처의 격자는 조밀하게 설정하였다. 프로펠러 벽면의 Y+ 분포는 Fig. 4에 나타내었다. 프로펠러 후류 영역에 body of influence(BOI)기법을 적용하여 국부적으로 격자해상도를 증강하였으며, 프로펠러와 덕트 근처에도 격자 크기를 조밀하게 설정하여 계산의 효율성을 확보하였다. 격자수는 약 600만개이며, 직교성은 0.15 이상을 유지하도록 설정하여, 수치해석의 수렴성과 효율성을 확보하였다.
2.4 경계 조건
수치 해석의 순서는 공력 성능 측정을 위한 정상 상태 해석 후, 이를 기반으로 공력 소음 측정을 위한 비정상 상태 해석 순으로 수행하였으며, 공력 소음 측정을 위한 과도 해석 전 유동 안정화를 위해 프로펠러 3회전 후, 이를 기반으로 과도해석을 수행하였다. 프로펠러의 회전속도는 DJI社 팬텀 모델 모터의 호버기동 시 적정 RPM인 5,000 rpm으로 설정하였다. 프로펠러 덕트 벽면은 점착조건을 부여하였으며, 외부 유동장과 내부 회전 유동장의 접촉면은 mesh interface 조건을 통해 유동장이 연결되도록 설정하였다. 정적 해석의 수렴 조건은 잔차가 1 × 10-4 이내로 내려갈 때까지 반복 계산하였으며, 이를 기반으로 공력 소음 해석을 수행하였다. 공력 소음 해석은 유체 역학에서 소음 방출 계산을 위해 사용하는 음향 유추 이론인 Lighthill의 음향 유추 이론을 일반화한 형태인 FW-H 방정식을 적용하였으며, 프로펠러 벽면을 FW-H surface로 설정하였다. 음향 상사식을 이용한 유동 소음 해석은 과도 해석이 필수적이며, 해석 전 사전 과도 해석을 수행하여 유동장의 안정화 과정이 필요하다. 유동장 안정화를 위해 프로펠러가 1° 회전하는 시간을 기준으로 계산 시간 단계로 설정한 후, 프로펠러 3회전을 기준으로 사전 과도 해석을 수행하였다. 이후 공력 소음 해석은 가청 주파수 범위인 20 kHz로 설정하였으며, 회전 속도와 나이퀴스트 이론(Nyquist frequency)을 기반으로 계산 시간 단계는 2.5 × 10-5초로 설정하였다. 수치 해석에 사용된 경계 조건과 작동 조건은 Table 1에 정리하였다.
3. 실 험
3.1 실험장치 구성 및 방법
본 연구에서는 수치 해석 결과의 신뢰성을 확보하기 위해 실험을 병행하였다. 추력 측정은 TURNIGY社의 상용 추력 측정 스탠드를 사용하였으며, 내장된 로드셀을 통해 측정된 추력이 g 단위로 표시된다. 모터는 실험 특성 상 저소음이 요구되기 때문에 SUNNYSKY사의 X2212 980 kV Outrunner 방식 브러시리스 모터를 사용하였다. 배터리의 경우 고 방전 성능을 위해 VEGA社의 3S 35C 2,200 mAh Li-Po를 사용하였다. 본 연구에서 사용한 추력 스탠드는 모터의 극(pole) 수를 이용해 회전속도를 계산하는 기능이 존재하지만, 모터의 손실이나 슬립을 고려하지 못하기 때문에 비접촉 회전속도 측정장비를 사용하여 회전속도를 측정하였다. 소음 측정은 주파수 스펙트럼 분석이 가능한 miniDSP社의 UMIK-1 모델을 사용하였으며, REW 소프트웨어 내 제조사에서 제공하는 방법을 이용하여 보정하였다. 실험은 흡음 소재가 벽면에 부착되어 있는 대형 강의실에서 수행하였으며, 실험 장치의 구성은 Fig. 5에 나타내었다.
3.2 공력 성능 검증
공력 성능의 검증을 위해 2,000∼7,000 RPM 구간에서 프로펠러의 추력을 수치해석 결과와 실험값을 비교하였으며, Fig. 6에 나타내었다. 2,000∼6,000 RPM 까지 추력이 거의 비슷한 경향을 보여 수치해석과 실험값이 오차가 거의 없음을 알 수 있지만, 7,000 RPM에서 약간의 차이가 발생한 것을 알 수 있다. 실험에서 사용한 플라스틱 재질 프로펠러로 인해 고 RPM 영역에서 원심력으로 구조적 변형이 일어났으며, 이로 인해 추력 손실이 발생하여 수치 해석과 오차가 발생한 것으로 사료된다.
3.3 공력 소음 검증
덕트가 없는 모델의 공력 소음 수치 해석 및 실험 결과와 덕트 모델의 공력 소음 측정 값을 Fig. 7에 나타내었다. 공력 소음 측정은 프로펠러 중심으로부터 4가지 각도(30°, 45°, 60°, 90°)와 50 cm 떨어진 거리에서 측정하였다. 먼저 수치 해석 결과와 실험 결과를 비교하였을 때, SPL이 비슷한 분포로 나타나 수치해석 결과의 신뢰성을 확보할 수 있었다. 하지만 고주파영역인 12,000 Hz 이상에서 sound pressure level(SPL)의 차이가 발생하였는데, 이는 공력 소음 측정 실험 과정에서 모터 소음이 지배적으로 측정되어 두 결과의 차이가 발생한 것으로 사료된다.
4곳의 소음 측정 지점에서 덕트 유무에 따른 SPL 분포 비교를 통해 덕트의 소음 저감 효과를 확인할 수 있었다. 덕트 모델은 프로펠러 후류 방향인 90°에서 가장 높은 소음 분포가 나타났으며, 덕트의 영향으로 측방향 소음방사가 효과적으로 감쇠하는 결과가 나타났다.
4. 결과 및 고찰
덕트의 팁 간극은 총 5개로 구성하였으며, 추력과 함께 Table 2에 나타내었다. 덕트를 적용한 모델이 덕트가 없는 모델보다 낮은 추력이 관측되었다. 덕트 유무에 따른 추력 차이 원인을 분석하기 위해 프로펠러 벽 근처 와도 크기 분포를 Fig. 8에 나타내었다. 덕트가 없는 모델의 경우 프로펠러 팁 궤적에 따라 규칙적인 와류가 생성된 반면, 덕트 모델의 경우 덕트 내벽과 프로펠러 사이 불규칙적인 와류가 다수 발생한 것을 확인할 수 있다. 이러한 불규칙한 와류로 인해 덕트 내부에서 유동 손실이 발생하였고, 추력이 감소하는 결과로 이어졌다.
4.1 팁 간극에 따른 공력 성능
프로펠러 팁 간극 크기에 따른 공력 성능 변화를 분석하기 위해 X-Y 단면과 덕트 출구에서의 속도 분포를 Fig. 9에 나타내었다. 팁 간극이 작아질수록 덕트 출구 유동의 속도가 현저히 증가하는 양상을 보였다. 유동장 출구에서의 속도 또한, Case 1이 Case 5보다 약 50% 이상 높은 결과가 나타났다. 이러한 결과는 프로펠러 팁 간극이 줄어듦에 따라 덕트 벽 사이 누설 유동이 억제되고, 불규칙한 와류 생성이 제어되었기 때문이다. 이로 인해 프로펠러에서 발생한 에너지가 추력에 전달되어 공력 성능 향상 효과로 이어진 것으로 사료된다.
4.2 팁 간극에 따른 공력 소음
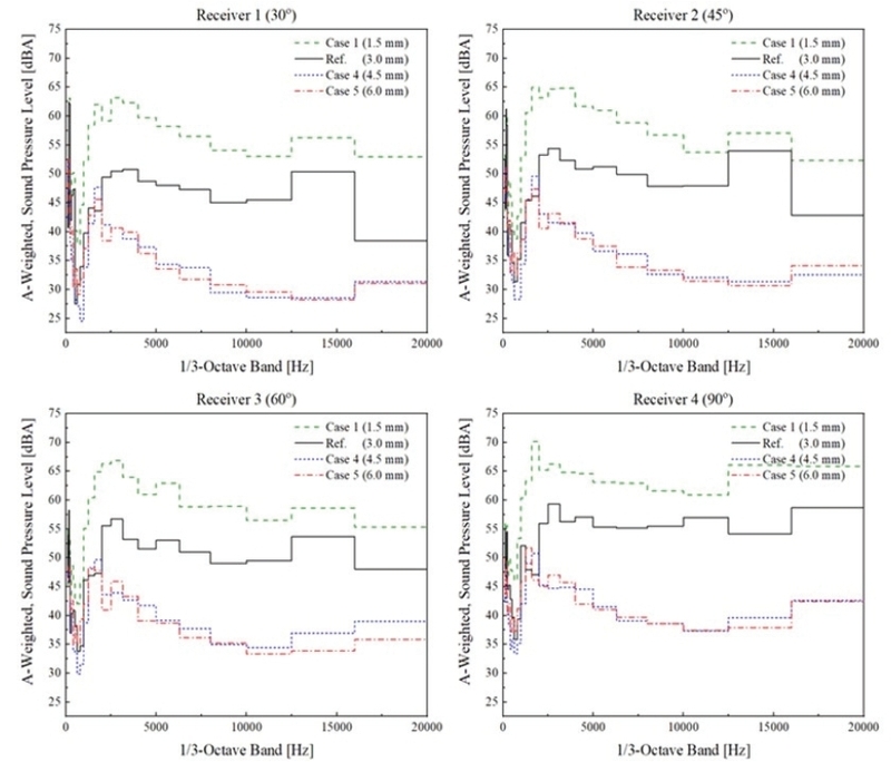
팁 간극 변화가 공력 소음 특성에 미치는 영향을 분석하기 위해 4가지 각도(30°, 45°, 60°, 90°)에서의 측정점에서 A-가중치 음압레벨을 측정 및 비교하여 Fig. 10에 나타내었다.
모든 지점에서 팁 간극이 감소할수록 전체 음압레벨이 증가하는 경향을 보이며, 이는 팁 간극이 작아질수록 프로펠러와 덕트 내벽 간의 상호작용이 강화되기 때문이다. 팁 간극이 작을수록 집속된 팁 와류가 형성되어, 후속 블레이드가 이를 통과하며 강한 blade–vortex interaction(BVI)이 발생한다. 이로 인해 저주파 대역에서 뚜렷한 충격성 소음이 증가하게 되며, 이는 공력 소음의 주요 원인으로 작용한다. Case 4와 Case 5의 공력 소음 양상이 비슷하게 나타난 결과를 통해, 일정 팁 간극 이상에서 공력 소음이 수렴하는 경향을 확인할 수 있다.
Fig. 10의 주파수 스펙트럼을 보면, 프로펠러 공력 소음의 주된 주파수 대역(0.2∼6 kHz)에서 팁 간극이 작을수록 공력 소음 수준이 높게 나타나고, 간극이 커질수록 전 주파수 범위에서 소음이 점진적으로 감소하는 경향이 나타났다. 이러한 결과를 통해, 덕트의 차폐 효과뿐만 아니라 팁 간극 변 화가 공력 소음 특성에 직접적인 영향을 미치는 주요 요인임을 확인할 수 있었다.
5. 결 론
본 연구에서는 덕트형 프로펠러의 팁 간극 크기가 공력 성능 및 공력 소음 특성에 미치는 영향을 수치해석적 방법으로 분석하였으며, 실험을 통해 이를 검증하였다. 팁 간극을 1.5 mm에서 6 mm까지 변화시키며 수행한 결과는 다음과 같다.
- 1. 공력 성능 측면에서는, 팁 간극이 감소할수록 프로펠러와 덕트 벽 사이의 누설 유동이 억제되어 덕트 내부 모멘텀 손실이 줄어들었다. 이로 인해 프로펠러 후류 유속이 증가하고 추력 생성 효율이 향상됨을 확인하였다. 팁 간극에 따라 유동장 출구에서 약 50%의 유속 차이가 발생하였으며, 이는 공력성능의 차이로 나타났다.
- 2. 공력소음 특성에서는, 팁 간극이 감소할수록 높은 음압 레벨 결과가 나타났다. 이는 팁 간극 축소로 인해 발생한 집중된 팁 와류가 후속 블레이드와의 BVI로 인해 나타난 결과이며, 저주파 음역대의 음압레벨을 관측을 통해 BVI가 공력 소음의 주된 원인임을 알 수 있다.
- 3. 팁 간극이 4.5 mm보다 커지면 공력 소음 저감 효과는 정체되고, 공력 성능 감소는 가속화되므로 팁 간극 4∼4.5 mm 구간이 효율적 간극 범위로 판단된다.
본 연구를 통해 덕트 프로펠러의 소음저감 효과는 확인하였으나, 팁 간극에 따른 공력 성능-공력 소음의 상충 관계도 명확히 확인되었다. 따라서 최적의 팁 간극 설정이 소음 저감을 위한 덕트 프로펠러 설계에서 핵심 설계 인자임을 확인하였다.
Acknowledgments
본 연구는 한국연구재단(NRF)의 지원을 받아 수행되었습니다(RS-2024-00394215).
References
- Stanley, M., 2018, “Flying cars: Investment implications of autonomous urban air mobility,” Morgan Stanley Research, New York, NY, USA.
- Rizzi, S. A., Huff, D. L., Boyd, D. D., Bent, P., Henderson, B. S., Pascioni, K. A., and Snider, R., 2020, Urban Air Mobility Noise: Current Practice, Gaps, and Recommendations, No. NASA/TP-20205007433.
- World Health Organization, 2018, “Environmental noise guidelines for the European region,” World Health Organization, Regional Office for Europe.
-
Ryu, K. W., 2019, “Sound levels from variable shapes of a tactical UAV propeller,” Transactions of the Korean Society for Noise and Vibration Engineering, Vol. 29, No. 6, pp. 780∼786.
[https://doi.org/10.5050/KSNVE.2019.29.6.780]
-
Johnson, W., 2013, Rotorcraft Aeromechanics, Vol. 36, Cambridge University Press, Cambridge.
[https://doi.org/10.1017/CBO9781139235655]
-
Chung, K., Lee, D. J., and Hwang, C., 2006, “Helicopter BVI noise prediction using acoustic analogy and high resolution airloads of time marching free wake method,” Transactions of the Korean Society for Noise and Vibration Engineering, Vol. 16, No. 3, pp. 291∼297.
[https://doi.org/10.5050/KSNVN.2006.16.3.291]
-
Intravartolo, N., Sorrells, T., Ashkharian, N., and Kim, R., 2017, “Attenuation of vortex noise generated by UAV propellers at low Reynolds numbers,” Proc. 55th AIAA Aerospace Sciences Meeting, AIAA 2017-2019.
[https://doi.org/10.2514/6.2017-2019]
-
Wei, Y., Xu, F., Bian, S., and Kong, D., 2020, “Noise reduction of UAV using biomimetic propellers with varied morphologies leading-edge serration,” Journal of Bionic Engineering, Vol. 17, No. 4, pp. 767∼779.
[https://doi.org/10.1007/s42235-020-0054-z]
-
Butt, F. R. and Talha, T., 2019, “Numerical investigation of the effect of leading-edge tubercles on propeller performance,” Journal of Aircraft, Vol. 56, No. 3, pp. 1014∼1028.
[https://doi.org/10.2514/1.C034845]
-
Clark, I. A., Daly, C. A., Devenport, W., Alexander, W. N., Peake, N., Jaworski, J. W., and Glegg, S., 2016, “Bio-inspired canopies for the reduction of roughness noise,” Journal of Sound and Vibration, Vol. 385, pp. 33∼54.
[https://doi.org/10.1016/j.jsv.2016.08.027]
-
Jaworski, J. W. and Peake, N., 2013, “Aerodynamic noise from a poroelastic edge with implications for the silent flight of owls,” Journal of Fluid Mechanics, Vol. 723, pp. 456∼479.
[https://doi.org/10.1017/jfm.2013.139]
-
Ning, Z. and Hu, H., 2017, “An experimental study on the aerodynamic and aeroacoustic performances of a bio-inspired UAV propeller,” Proc. 35th AIAA Applied Aerodynamics Conference, AIAA 2017-3747.
[https://doi.org/10.2514/6.2017-3747]
-
Brooks, T. F. and Burley, C. L., 2004, “Blade wake interaction noise for a main rotor,” Journal of the American Helicopter Society, Vol. 49, No. 1, pp. 2106∼2113.
[https://doi.org/10.4050/JAHS.49.11]
-
Wiedemann, A., Britcher, C. P., and Fuller, C. R., 2021, “A study of the aeroacoustics of swept propellers for small unmanned aerial vehicles,” Proc. AIAA SciTech 2021 Forum, AIAA 2021-1926.
[https://doi.org/10.2514/6.2021-1926]
-
Sullivan, J. P., Chang, L. K., and Miller, C. J., 1981, “The effect of proplets and bi-blades on the performance and noise of propellers,” SAE Transactions, Vol. 90, pp. 2106∼2113.
[https://doi.org/10.4271/810600]
-
Malgoezar, A. M., Vieira, A., Snellen, M., Simons, D. G., and Veldhuis, L. L., 2019, “Experimental characterization of noise radiation from a ducted propeller of an unmanned aerial vehicle,” International Journal of Aeroacoustics, Vol. 18, No. 4-5, pp. 372∼391.
[https://doi.org/10.1177/1475472X19852952]
-
Simon, F., Schiller, N. H., Zawodny, N. S., Pettingill, N. A., and Galles, M. B., 2023, “Fundamental noise characterization of a ducted propeller in hover,” INTER-NOISE and NOISE-CON Congress and Conference Proceedings, Vol. 265, No. 7, pp. 657∼667.
[https://doi.org/10.3397/IN_2022_0091]
-
Cantos, S., Zhou, P., Wu, H., Ma, Z., Chen, W., Zhong, S., and Zhang, X., 2024, “Aerodynamics and aeroacoustics of ducted propellers: A study on the design and geometry effects,” Physics of Fluids, Vol. 36, No. 3, Article No. 035116.
[https://doi.org/10.1063/5.0191323]










